z Mục lục tài liệu
Nội dung chi tiết

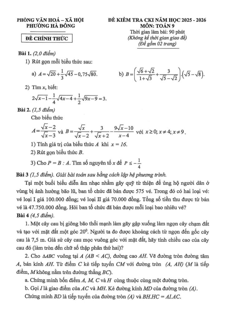
MonToan.com.vn giới thiệu đến quý thầy, cô giáo và các em học sinh đề kiểm tra cuối học kì 1 môn Toán 9 năm học 2025 – 2026 phường Hà Đông, thành phố Hà Nội.
Trích dẫn Đề cuối học kì 1 Toán 9 năm 2025 – 2026 phường Hà Đông – Hà Nội:
+ Giải bài toán sau bằng cách lập hệ phương trình: Tại một buổi biểu diễn âm nhạc nhằm gây quỹ từ thiện để ủng hộ người dân ở vùng bị ảnh hưởng bão lũ, ban tổ chức đã bán được 575 vé. Trong đó có hai loại vé: vé loại I giá 100.000 đồng; vé loại II giá 70.000 đồng. Tổng số tiền thu được từ bán vé là 47.750.000 đồng. Hỏi ban tổ chức đã bán được mỗi loại bao nhiêu vé?
+ Một cây cau bị giông bão thổi mạnh làm gãy gập xuống làm ngọn cây chạm đất và tạo với mặt đất một góc 20°. Người ta đo được khoảng cách từ ngọn đến gốc cây cau là 7,5 m. Giả sử cây cau mọc vuông góc với mặt đất, hãy tính chiều cao của cây cau đó (làm tròn đến chữ số thập phân thứ hai)?
+ Bác Hảo có một khu vườn PMNQ có dạng hình chữ U như hình vẽ. Trên cạnh MN = 5m, bác Hảo đặt cố định một vòi tưới nước A sao cho MA = 4m và AN = 1m. Để hoàn thiện khu vườn hoa, bác Hảo bố trí thêm khu ươm cây C trên đoạn NQ và kho dụng cụ B trên đoạn thẳng MP. Ba vị trí A, B, C sẽ tạo thành một khu trồng hoa tam giác vuông ABC (vuông tại A) như hình vẽ. Hãy xác định các vị trí của điểm B và điểm C trên các đoạn thẳng MP và NQ sao cho khu trồng hoa tam giác vuông ABC có diện tích nhỏ nhất.
Download Center
Chọn tài liệu bạn muốn tải về








