z Mục lục tài liệu
Nội dung chi tiết

1 / 9
Quý thầy cô và học sinh đang tham khảo đề cương cuối kỳ 1 toán 9 năm 2025 – 2026 trường thcs thành công – hà nội, bộ đề thi được xây dựng bám sát chuẩn đề thi toán cập nhật nhất. Cấu trúc đề bảo đảm độ phủ kiến thức đồng đều, mức độ câu hỏi được cân chỉnh từ nhận biết đến vận dụng cao, phù hợp kiểm tra toàn diện năng lực. Hãy khai thác triệt để tài liệu này để đánh giá chính xác trình độ hiện tại và tối ưu chiến lược luyện thi của bạn.
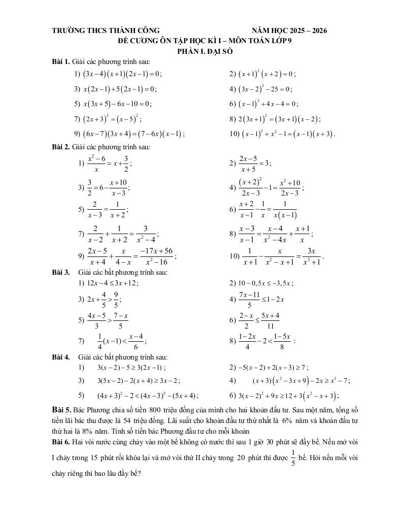
MonToan.com.vn giới thiệu đến quý thầy, cô giáo và các em học sinh đề cương ôn tập kiểm tra cuối học kỳ 1 môn Toán 9 năm học 2025 – 2026 trường THCS Thành Công, phường Giảng Võ, thành phố Hà Nội.
Bạn đang khám phá nội dung đề cương cuối kỳ 1 toán 9 năm 2025 – 2026 trường thcs thành công – hà nội trong chuyên mục toán lớp 9 trên nền tảng đề thi toán. Được biên soạn chuyên sâu và bám sát chương trình sách giáo khoa hiện hành, bộ bài tập toán trung học cơ sở này cam kết tối ưu hóa toàn diện quá trình ôn luyện, củng cố kiến thức Toán lớp 9 cho học sinh, đặc biệt là chuẩn bị cho các kỳ thi quan trọng, thông qua phương pháp tiếp cận trực quan và mang lại hiệu quả học tập vượt trội.
Download Center
Chọn tài liệu bạn muốn tải về















