z Mục lục tài liệu
Nội dung chi tiết

MonToan.com.vn giới thiệu đến quý thầy, cô giáo và các em học sinh đề cương ôn tập cuối học kỳ 2 môn Toán 11 năm học 2025 – 2026 trường THPT Hoàng Văn Thụ, thành phố Hà Nội.
1. MỤC TIÊU
1.1. Kiến thức: Học sinh ôn tập các kiến thức về:
– Lũy thừa với số mũ thực.
– Lôgarit.
– Hàm số mũ và hàm số lôgarit.
– Phương trình, bất phương trình mũ và lôgarit.
– Biến cố giao, biến cố hợp, biến cố độc lập.
– Công thức cộng xác suất.
– Công thức nhân xác suất cho hai biến cố độc lập.
– Định nghĩa và ý nghĩa của đạo hàm.
– Các quy tắc tính đạo hàm.
– Hai đường thẳng vuông góc.
– Đường thẳng vuông góc với mặt phẳng.
– Phép chiếu vuông góc. Góc giữa đường thẳng và mặt phẳng.
– Hai mặt phẳng vuông góc.
– Khoảng cách.
– Thể tích.
1.2. Kĩ năng: Học sinh rèn luyện các kĩ năng:
– Kĩ năng biến đổi biểu thức liên quan luỹ thừa và logarit.
– Kĩ năng tìm điều kiện xác định của hàm số luỹ thừa, hàm số mũ và hàm số logarit.
– Kĩ năng giải phương trình và bất phương trình mũ, logarit.
– Kĩ năng đọc hiểu và phân tích đồ thị hàm số mũ, hàm số logarit.
– Kĩ năng tính giá trị (đúng hoặc gần đúng) của lôgarit bằng cách sử dụng máy tính cầm tay.
– Kĩ năng định dạng mối quan hệ giữa các biến cố (biến cố đối, hai biến cố xung khắc, độc lập).
– Kĩ năng áp dụng các quy tắc tính xác suất.
– Kĩ năng tính đạo hàm của một số hàm số sơ cấp cơ bản. Sử dụng các công thức tính đạo hàm của tổng, hiệu, tích, thương các hàm số và đạo hàm của hàm số hợp.
– Kĩ năng lập phương trình tiếp tuyến của đồ thị hàm số.
– Kĩ năng vận dụng ý nghĩa cơ học và hình học của đạo hàm.
– Kĩ năng “đọc” đề và vẽ hình không gian.
– Kĩ năng chứng minh quan hệ vuông góc.
– Kĩ năng xác định góc, tính toán số đo góc giữa hai đường thẳng, giữa đường thẳng và mặt phẳng, giữa hai mặt phẳng và góc phẳng nhị diện.
– Kĩ năng tính khoảng cách từ 1 điểm đến một đường thẳng, mặt phẳng; khoảng cách giữa hai đường thẳng song song, chéo nhau.
– Kĩ năng tính thể tích khối đa diện.
– Kĩ năng mô hình hóa toán học (Vận dụng thực tế).
– Kĩ năng trình bày bài, tính toán và tư duy lôgic.
2. NỘI DUNG
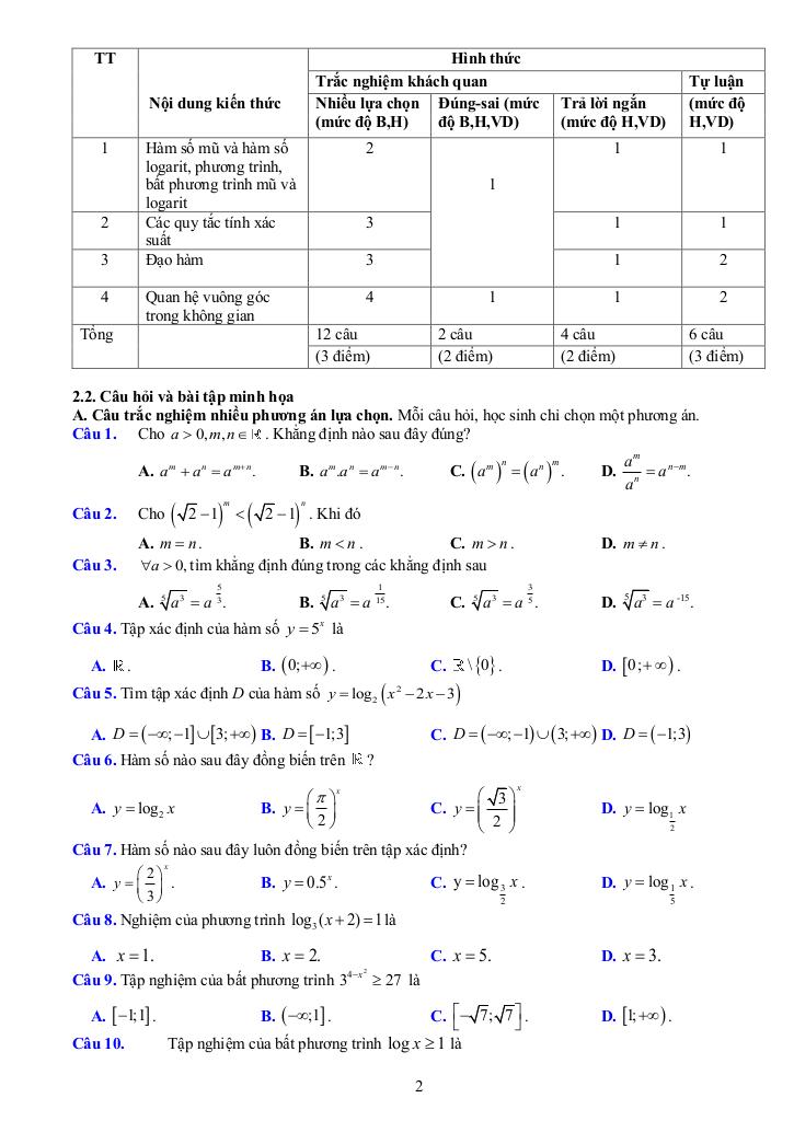
1 Hàm số mũ và hàm số logarit, phương trình, bất phương trình mũ và logarit.
2 Các quy tắc tính xác suất.
3 Đạo hàm.
4 Quan hệ vuông góc trong không gian.
Download Center
Chọn tài liệu bạn muốn tải về
















