z Mục lục tài liệu
Nội dung chi tiết

1 / 10
Quý thầy cô và học sinh đang tham khảo đề cương giữa kì 2 toán 11 năm 2025 – 2026 trường thpt trần nhân tông – hà nội, bộ đề thi được xây dựng bám sát chuẩn soạn toán cập nhật nhất. Cấu trúc đề bảo đảm độ phủ kiến thức đồng đều, mức độ câu hỏi được cân chỉnh từ nhận biết đến vận dụng cao, phù hợp kiểm tra toàn diện năng lực. Hãy khai thác triệt để tài liệu này để đánh giá chính xác trình độ hiện tại và tối ưu chiến lược luyện thi của bạn.
MonToan.com.vn giới thiệu đến quý thầy, cô giáo và các em học sinh đề cương ôn tập giữa học kì 2 môn Toán 11 năm học 2025 – 2026 trường THPT Trần Nhân Tông, thành phố Hà Nội.
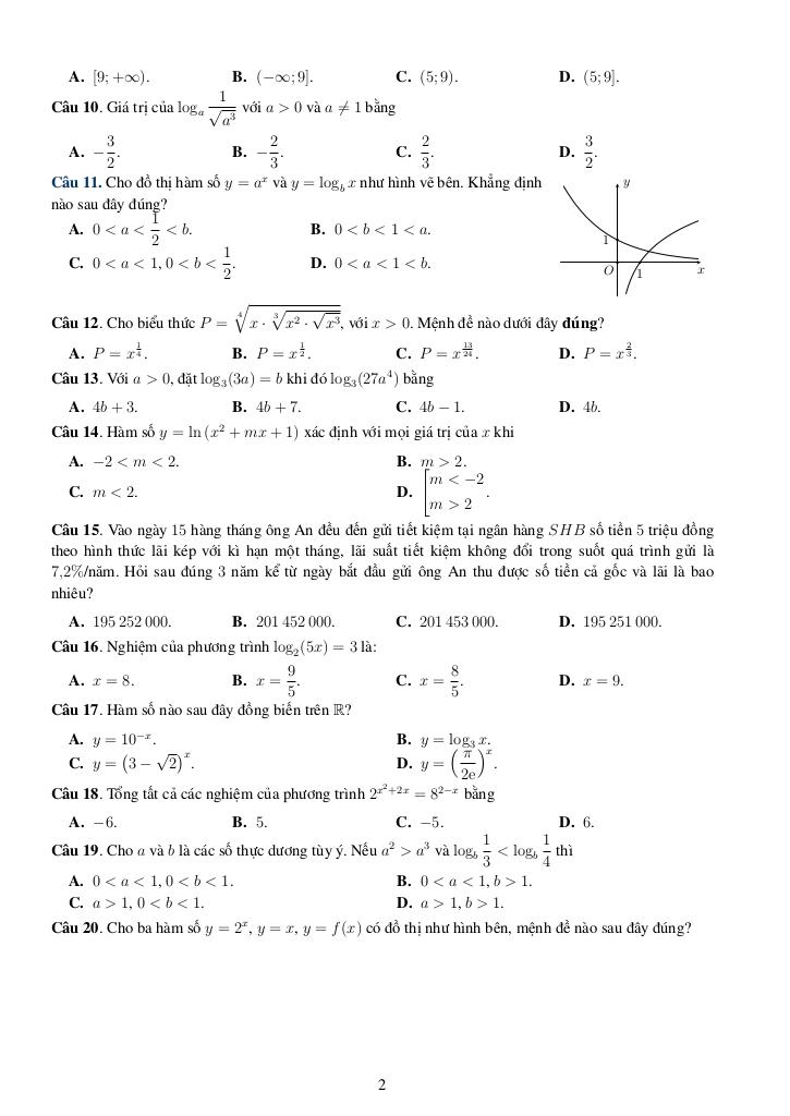
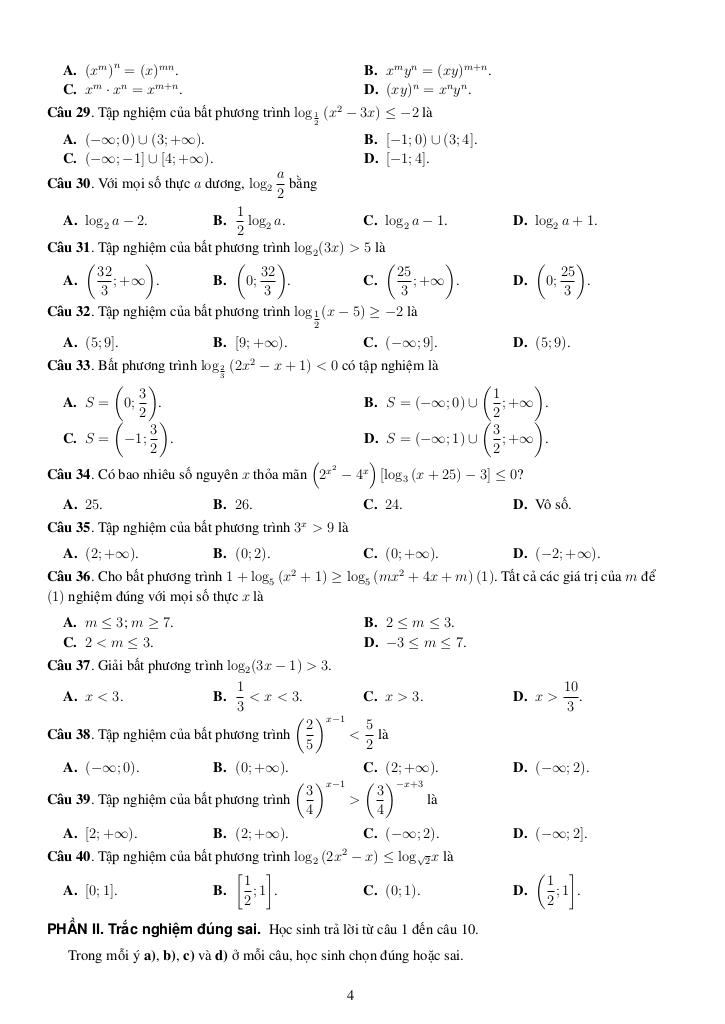
+ Phần I. Trắc nghiệm. Học sinh trả lời từ câu 1 đến câu 40. Mỗi câu hỏi học sinh chỉ chọn một phương án.
+ Phần II. Trắc nghiệm đúng sai. Học sinh trả lời từ câu 1 đến câu 10. Trong mỗi ý a), b), c) và d) ở mỗi câu, học sinh chọn đúng hoặc sai.
+ Phần III. Trả lời ngắn. Học sinh trả lời từ câu 1 đến câu 20.
+ Phần IV. Tự luận. Học sinh làm ra giấy từ câu 1 đến câu 10.
Bạn đang khám phá nội dung đề cương giữa kì 2 toán 11 năm 2025 – 2026 trường thpt trần nhân tông – hà nội trong chuyên mục Giải bài tập Toán 11 trên nền tảng soạn toán. Được biên soạn chuyên sâu và bám sát chặt chẽ chương trình sách giáo khoa hiện hành, bộ bài tập toán thpt này cam kết tối ưu hóa toàn diện quá trình ôn luyện, củng cố kiến thức Toán lớp 11 cho học sinh THPT, thông qua phương pháp tiếp cận trực quan và mang lại hiệu quả học tập vượt trội, tạo nền tảng vững chắc cho các kỳ thi quan trọng và chương trình đại học.
Download Center
Chọn tài liệu bạn muốn tải về
















