z Mục lục tài liệu
Nội dung chi tiết

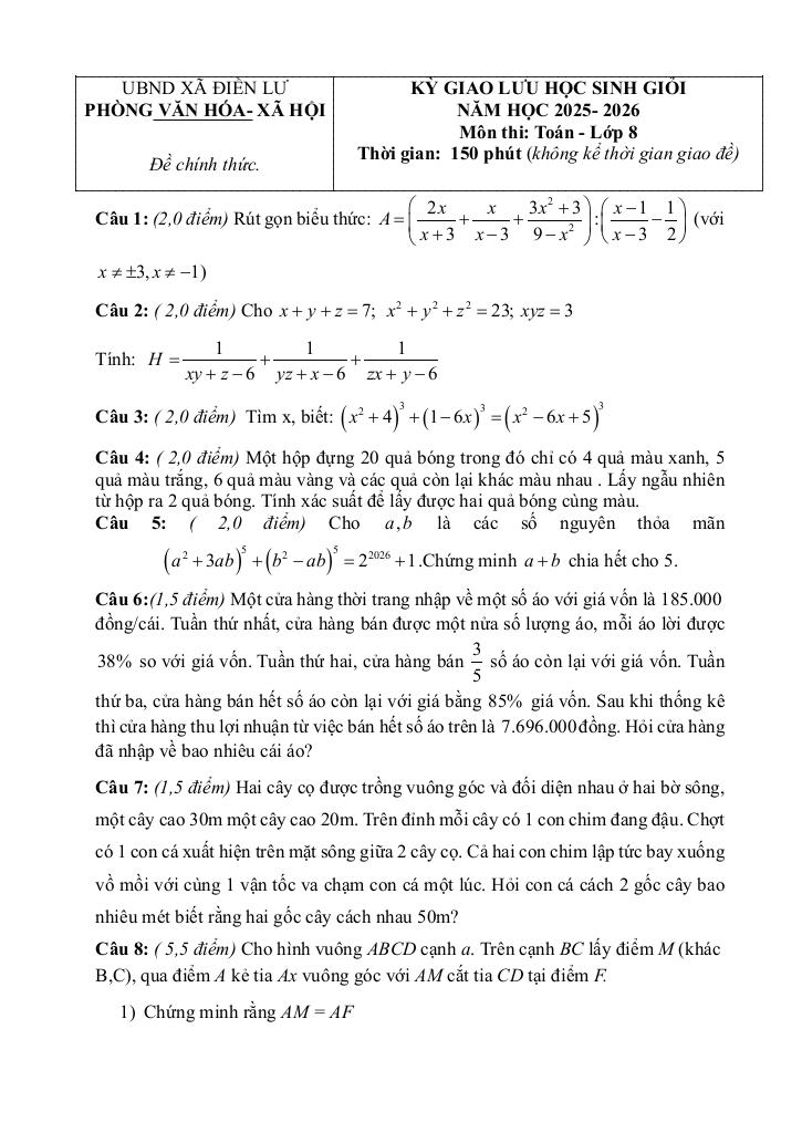
MonToan.com.vn giới thiệu đến quý thầy, cô giáo và các em học sinh đề giao lưu học sinh giỏi môn Toán 8 năm học 2025 – 2026 xã Điền Lư, tỉnh Thanh Hóa. Đề thi có đáp án, lời giải chi tiết và hướng dẫn chấm điểm.
Trích dẫn Đề giao lưu HSG Toán 8 năm 2025 – 2026 xã Điền Lư – Thanh Hóa:
+ Một hộp đựng 20 quả bóng trong đó chỉ có 4 quả màu xanh, 5 quả màu trắng, 6 quả màu vàng và các quả còn lại khác màu nhau. Lấy ngẫu nhiên từ hộp ra 2 quả bóng. Tính xác suất để lấy được hai quả bóng cùng màu.
+ Một cửa hàng thời trang nhập về một số áo với giá vốn là 185.000 đồng/cái. Tuần thứ nhất, cửa hàng bán được một nửa số lượng áo, mỗi áo lời được 38% so với giá vốn. Tuần thứ hai, cửa hàng bán 3/5 số áo còn lại với giá vốn. Tuần thứ ba, cửa hàng bán hết số áo còn lại với giá bằng 85% giá vốn. Sau khi thống kê thì cửa hàng thu lợi nhuận từ việc bán hết số áo trên là 7.696.000đồng. Hỏi cửa hàng đã nhập về bao nhiêu cái áo?
+ Hai cây cọ được trồng vuông góc và đối diện nhau ở hai bờ sông, một cây cao 30m một cây cao 20m. Trên đỉnh mỗi cây có 1 con chim đang đậu. Chợt có 1 con cá xuất hiện trên mặt sông giữa 2 cây cọ. Cả hai con chim lập tức bay xuống vồ mồi với cùng 1 vận tốc va chạm con cá một lúc. Hỏi con cá cách 2 gốc cây bao nhiêu mét biết rằng hai gốc cây cách nhau 50m?
File WORD (dành cho quý thầy, cô): TẢI XUỐNG
Download Center
Chọn tài liệu bạn muốn tải về
















