z Mục lục tài liệu
Nội dung chi tiết

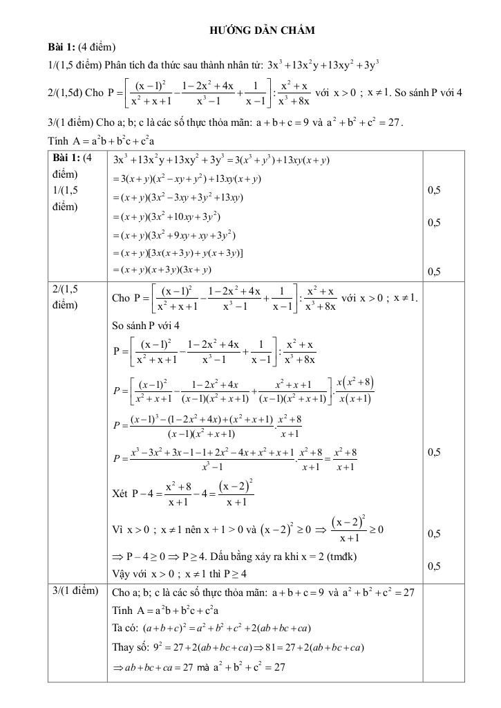
MonToan.com.vn giới thiệu đến quý thầy, cô giáo và các em học sinh đề thi giao lưu Olympic môn Toán 8 năm học 2025 – 2026 cụm trường THCS, thành phố Hà Nội. Đề thi có đáp án, lời giải chi tiết và hướng dẫn chấm điểm.
Trích dẫn Đề thi giao lưu Olympic Toán 8 năm 2025 – 2026 cụm trường THCS – Hà Nội:
+ Số nhà của bạn Hòa là một số tự nhiên không chia hết cho 4 và số đó cộng với tổng các chữ số của nó bằng 2025. Hỏi số nhà bạn Hòa là bao nhiêu.
+ Trong một hộp kín có 6 viên bi đỏ, 3 viên bi xanh, các viên bi có kích thước, khối lượng và hình dạng như nhau chỉ khác màu sắc. Lấy ngẫu nhiên 1 viên bi từ trong hộp. a/ Tính xác suất của biến cố E: “Lấy được viên bi màu đỏ”. b/ Thêm vào hộp một số viên bi màu đỏ, màu xanh sao cho xác suất chọn được một viên bi mỗi màu như biến cố E ở ý a. Hỏi cần thêm ít nhất bao nhiêu viên bi mỗi màu?
+ Cho ∆ABC vuông tại A có đường trung tuyến BN. Qua N kẻ đường thẳng song song với BC cắt AB tại M. Qua M kẻ đường thẳng vuông góc với AB cắt BC tại D, kẻ MH ⊥ BC tại H. a/ Chứng minh tứ giác AMDN là hình chữ nhật; tứ giác BMND là hình bình hành. b/ Gọi K là điểm đối xứng với M qua D. CMR: AH ⊥ HK. c/ Gọi G là giao điểm của AD và BN, O là trung điểm của DN. Chứng minh 3 điểm G; O; C thẳng hàng. d/ Tia phân giác của BMN cắt BN tại E, tia phân giác của MND cắt MD tại F. Chứng minh EF // GD.
File WORD (dành cho quý thầy, cô): TẢI XUỐNG
Download Center
Chọn tài liệu bạn muốn tải về











