z Mục lục tài liệu
Nội dung chi tiết

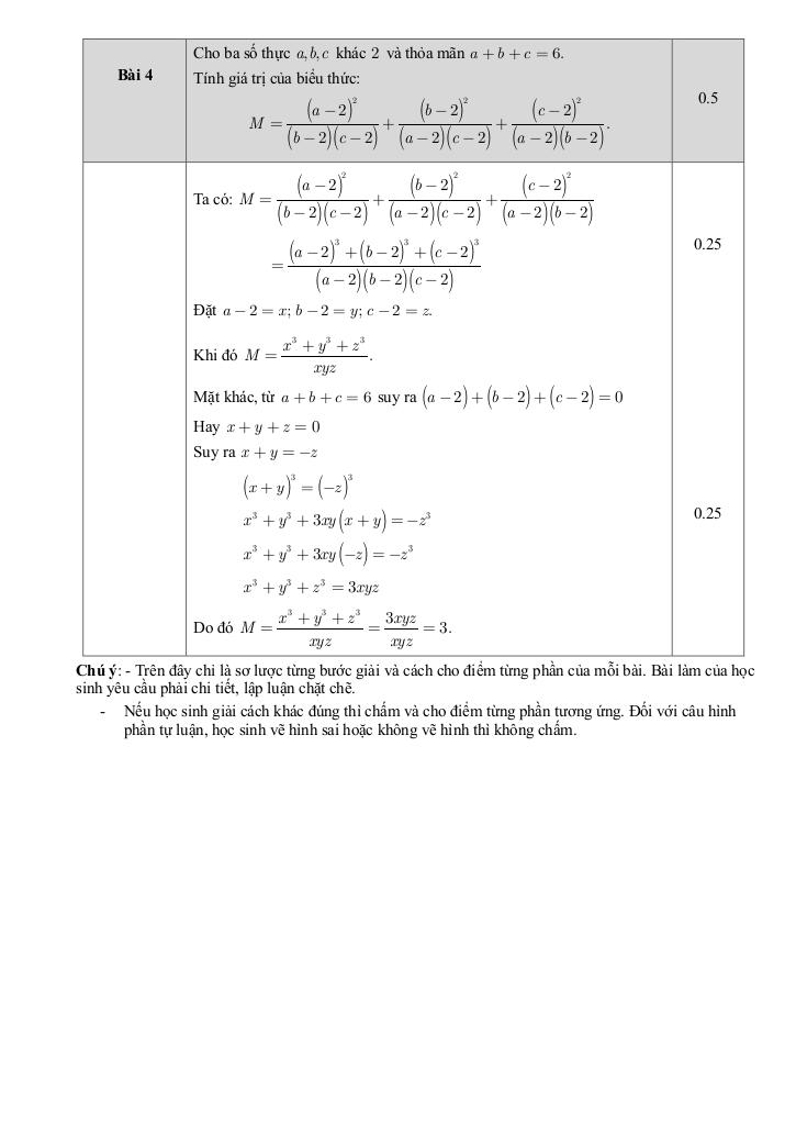
MonToan.com.vn giới thiệu đến quý thầy, cô giáo và các em học sinh đề kiểm tra giữa học kì 2 môn Toán 8 năm học 2025 – 2026 trường THCS Đồi Ngô, tỉnh Bắc Ninh. Đề thi có đáp án, lời giải chi tiết và hướng dẫn chấm điểm.
Trích dẫn Đề giữa học kì 2 Toán 8 năm 2025 – 2026 trường THCS Đồi Ngô – Bắc Ninh:
+ Để bảo trì tượng Nữ thần tự do với chiều cao là AD = 93m, người thợ đã gắn hai dây thép cố định vào hai vị trí B và C (như hình vẽ) sao cho BAC = CAD. Tính chiều dài của dây thép khi được căng thẳng từ A đến B biết rằng độ dài BC = 20m và CD = 15m.
+ Cho tam giác ABC có AB < AC, M là trung điểm AC, N là trung điểm BC. a) Chứng minh tam giác ABC đồng dạng tam giác MNC. b) Vẽ tia phân giác CF của góc ACB (F thuộc AB). Vẽ đường thẳng đi qua F và song song BM, đường thẳng này cắt AC tại G. Chứng minh: AC.GM = BC.AG.
File WORD (dành cho quý thầy, cô): TẢI XUỐNG
Download Center
Chọn tài liệu bạn muốn tải về














