z Mục lục tài liệu
Nội dung chi tiết

MonToan.com.vn giới thiệu đến quý thầy, cô giáo và các em học sinh đề kiểm tra giữa học kỳ 1 môn Toán 11 năm học 2025 – 2026 trường THPT Nguyễn Công Trứ, tỉnh Đắk Lắk. Đề thi có đáp án và hướng dẫn chấm điểm mã đề 013 819 267 913.
Trích dẫn Đề giữa học kỳ 1 Toán 11 năm 2025 – 2026 trường THPT Nguyễn Công Trứ – Đắk Lắk:
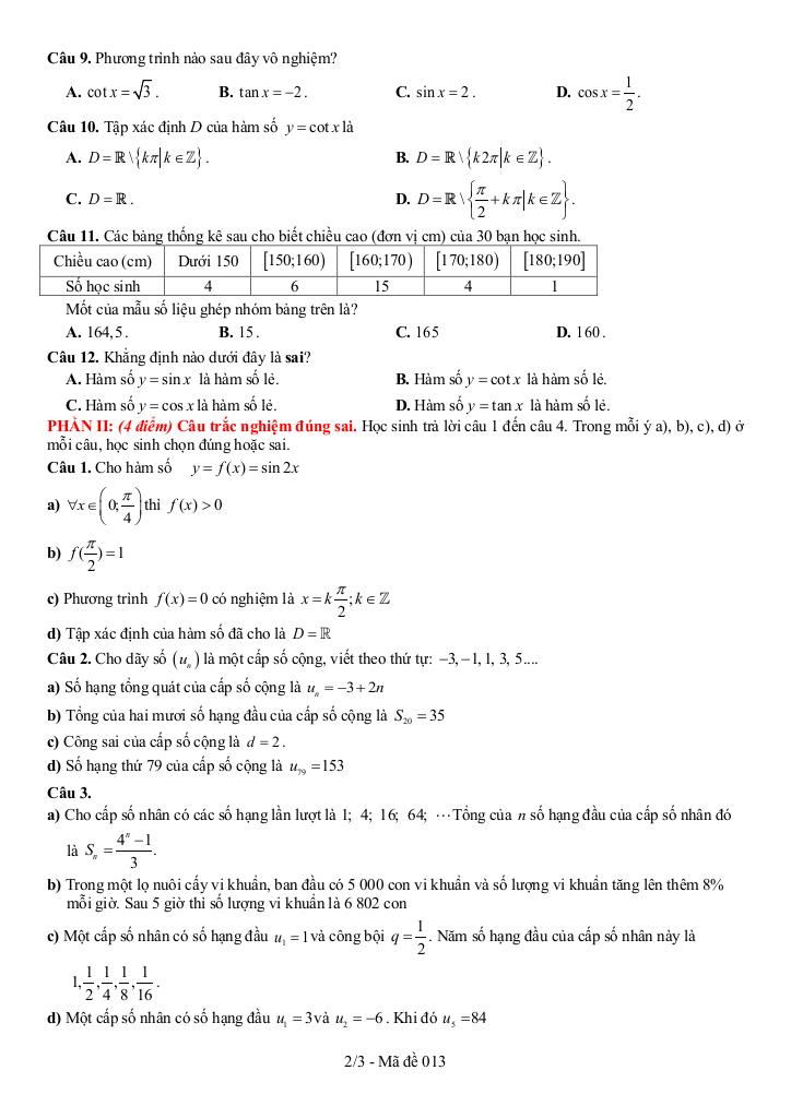
+ Giáo viên chủ nhiệm lớp 11A, khảo sát thời gian (phút) tự học ở nhà của 40 học sinh lớp mình và ghi lại kết quả trong bảng số liệu sau. Thời gian (phút) [0;30) [30;60) [60;90) [90;120) [120;150). Số học sinh 5 8 12 9 6. a) Tính thời gian trung bình tự học ở nhà của học sinh lớp 11A, ta được x = 76,5. b) Tứ phân vị thứ ba của mẫu số liệu ghép nhóm là Q3 = 106,7. c) Trung vị của mẫu số liệu ghép nhóm là Me = 77,5. d) Tứ phân vị thứ nhất của mẫu số liệu ghép nhóm là Q1 = 37.
+ Huyết áp là áp lực cần thiết tác động lên thành của động mạch để đưa máu từ tim đến nuôi dưỡng các mô trong cơ thể. Huyết áp được tạo ra do lực co bóp của cơ tim và sức cản của thành động mạch. Mỗi lần tim đập, huyết áp của chúng ta tăng rồi giảm giữa các nhịp. Huyết áp tối đa và huyết áp tối thiểu gọi là huyết áp tâm thu và tâm trương. Giả sử huyết áp của một người đó được mô hình hoá bởi hàm số P(t) = 100 + 20sin8πt/3, trong đó P(t) là huyết áp tính theo đơn vị mmHg (milimét thủy ngân) và thời gian t tính theo s (giây). Hỏi trong khoảng từ 0 đến 2 giây, số lần huyết áp tâm thu đạt 120 mmHg là bao nhiêu?
+ Một kĩ sư được một công ty thuê với mức lương hằng tháng là 26 triệu đồng và nhận được mức tăng lương sau mỗi 6 tháng là 6%. Hỏi mức lương tháng đầu của người kĩ sư đó trong năm thứ ba làm việc cho công ty là bao nhiêu trệu đồng? (Kết quả làm tròn đến một chữ số thập phân).
File WORD (dành cho quý thầy, cô): TẢI XUỐNG
Download Center
Chọn tài liệu bạn muốn tải về















