z Mục lục tài liệu
Nội dung chi tiết

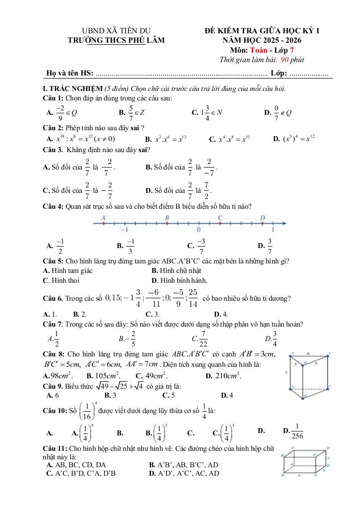
MonToan.com.vn giới thiệu đến quý thầy, cô giáo và các em học sinh đề kiểm tra giữa học kỳ 1 môn Toán 7 năm học 2025 – 2026 trường THCS Phú Lâm, xã Tiên Du, tỉnh Bắc Ninh. Đề thi hình thức 50% trắc nghiệm kết hợp 50% tự luận, thời gian làm bài 90 phút.
Trích dẫn Đề giữa học kỳ 1 Toán 7 năm 2025 – 2026 trường THCS Phú Lâm – Bắc Ninh:
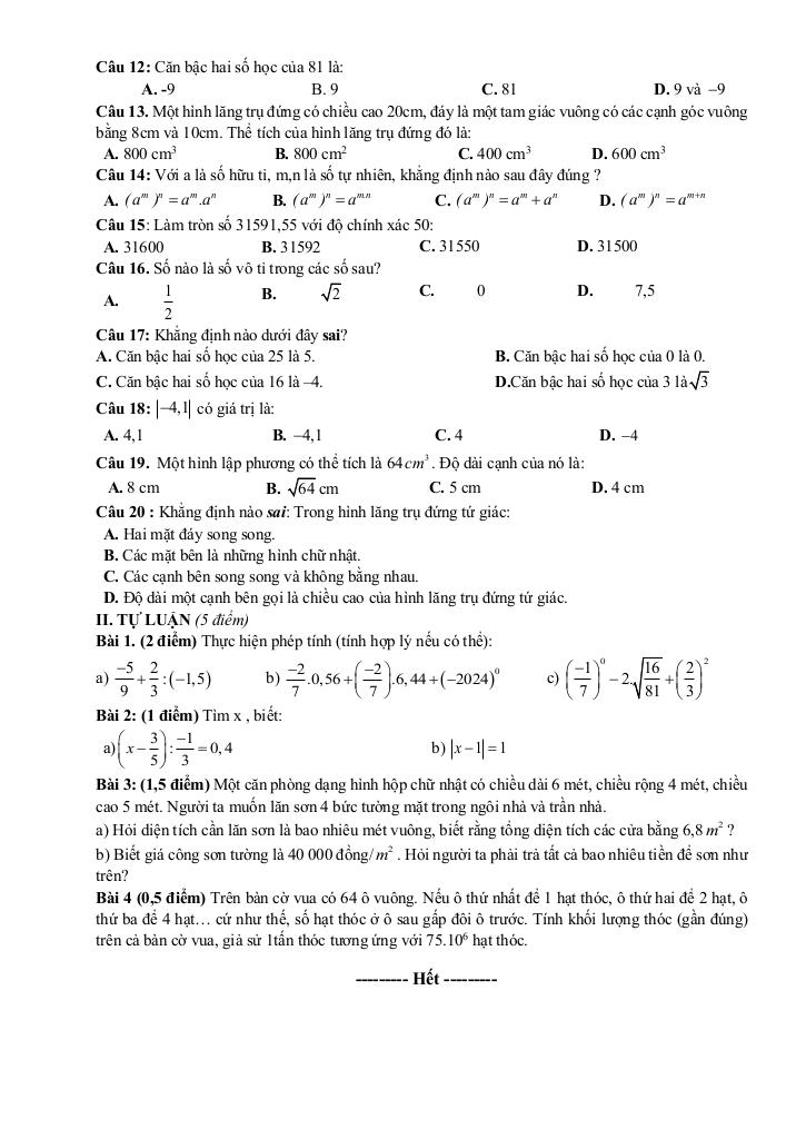
+ Một căn phòng dạng hình hộp chữ nhật có chiều dài 6 mét, chiều rộng 4 mét, chiều cao 5 mét. Người ta muốn lăn sơn 4 bức tường mặt trong ngôi nhà và trần nhà. a) Hỏi diện tích cần lăn sơn là bao nhiêu mét vuông, biết rằng tổng diện tích các cửa bằng 6,8 m2? b) Biết giá công sơn tường là 40 000 đồng/m2. Hỏi người ta phải trả tất cả bao nhiêu tiền để sơn như trên?
+ Trên bàn cờ vua có 64 ô vuông. Nếu ô thứ nhất để 1 hạt thóc, ô thứ hai để 2 hạt, ô thứ ba để 4 hạt … cứ như thế, số hạt thóc ở ô sau gấp đôi ô trước. Tính khối lượng thóc (gần đúng) trên cả bàn cờ vua, giả sử 1tấn thóc tương ứng với 75.106 hạt thóc.
+ Khẳng định nào sai: Trong hình lăng trụ đứng tứ giác: A. Hai mặt đáy song song. B. Các mặt bên là những hình chữ nhật. C. Các cạnh bên song song và không bằng nhau. D. Độ dài một cạnh bên gọi là chiều cao của hình lăng trụ đứng tứ giác.
Download Center
Chọn tài liệu bạn muốn tải về








