z Mục lục tài liệu
Nội dung chi tiết

MonToan.com.vn giới thiệu đến quý thầy, cô giáo và các em học sinh đề kiểm tra đánh giá giữa học kỳ 1 môn Toán 11 năm học 2025 – 2026 trường THPT Nguyễn Văn Trỗi, tỉnh Hà Tĩnh. Đề thi gồm 12 câu trắc nghiệm nhiều phương án lựa chọn + 02 câu trắc nghiệm đúng sai + 04 câu trắc nghiệm trả lời ngắn + 03 câu tự luận, thời gian làm bài 90 phút, có đáp án và hướng dẫn chấm điểm mã đề 111 – 122 – 113 – 124.
Trích dẫn Đề giữa kỳ 1 Toán 11 năm 2025 – 2026 trường THPT Nguyễn Văn Trỗi – Hà Tĩnh:
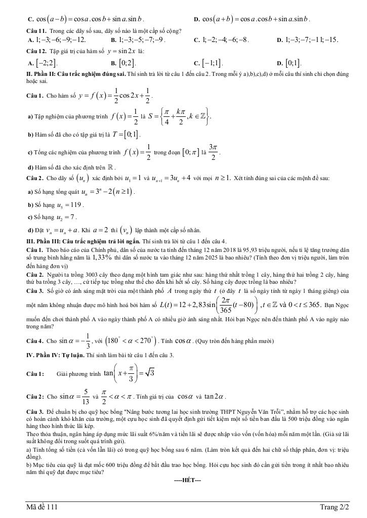
+ Theo báo cáo của Chính phủ, dân số của nước ta tính đến tháng 12 năm 2018 là 95,93 triệu người, nếu tỉ lệ tăng trưởng dân số trung bình hằng năm là 1,33% thì dân số nước ta vào tháng 12 năm 2025 là bao nhiêu? (Tính theo đơn vị triệu người, làm tròn đến hàng đơn vị).
+ Người ta trồng 3003 cây theo dạng một hình tam giác như sau: hàng thứ nhất trồng 1 cây, hàng thứ hai trồng 2 cây, hàng thứ ba trồng 3 cây, …, cứ tiếp tục trồng như thế cho đến khi hết số cây. Số hàng cây được trồng là bao nhiêu?
+ Để chuẩn bị cho quỹ học bổng “Nâng bước tương lai học sinh trường THPT Nguyễn Văn Trỗi”, nhằm hỗ trợ các học sinh có hoàn cảnh khó khăn của trường, một cựu học sinh đã quyết định gửi tiết kiệm một số tiền ban đầu là 500 triệu đồng vào ngân hàng theo hình thức lãi kép. Theo thỏa thuận, ngân hàng áp dụng mức lãi suất 6%/năm và tiền lãi sẽ được nhập vào vốn (vốn hóa) mỗi năm một lần. (Giả sử lãi suất không đổi trong suốt quá trình gửi). a) Tính tổng số tiền (cả vốn lẫn lãi) có trong quỹ học bổng sau 6 năm. (Làm tròn kết quả đến hai chữ số thập phân, đơn vị: triệu đồng). b) Mục tiêu của quỹ là đạt mốc 600 triệu đồng để bắt đầu trao học bổng. Hỏi cựu học sinh đó cần gửi tiền trong ít nhất bao nhiêu năm thì quỹ đạt được mục tiêu?
File WORD (dành cho quý thầy, cô): TẢI XUỐNG
Download Center
Chọn tài liệu bạn muốn tải về
















