z Mục lục tài liệu
Nội dung chi tiết

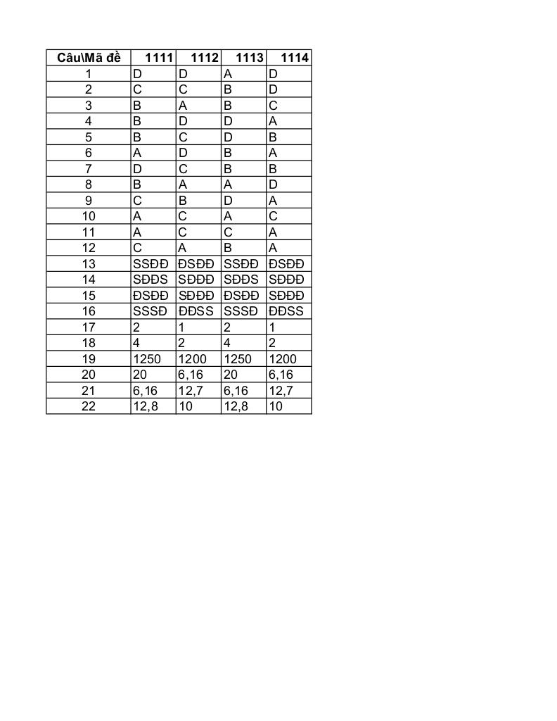
MonToan.com.vn giới thiệu đến quý thầy, cô giáo và các em học sinh đề kiểm tra giữa học kỳ 1 môn Toán 12 năm học 2025 – 2026 trường THPT Quảng Trị, tỉnh Quảng Trị. Đề thi có đáp án mã đề 1111 – 1112 – 1113 – 1114.
Trích dẫn Đề giữa kỳ 1 Toán 12 năm 2025 – 2026 trường THPT Quảng Trị – Quảng Trị:
+ Một hộ làm nghề dệt vải lụa tơ tằm sản xuất mỗi ngày được x mét vải lụa (1 ≤ x ≤ 18). Tổng chi phí sản xuất x mét vải lụa, tính bằng nghìn đồng, cho bởi hàm chi phí: C(x) = x3 – 3×2 – 20x + 500. Giả sử hộ làm nghề dệt này bán hết sản phẩm mỗi ngày với giá 220 nghìn đồng/mét. Gọi L(x) là lợi nhuận thu được khi bán x mét vải lụa. Hỏi lợi nhuận tối đa (đơn vị nghìn đồng) của hộ làm nghề dệt vải lụa tơ tằm trong một ngày?
+ Khuôn viên của một công viên có dạng hình chữ nhật ABCD với AB = 100m; AD = 80m. Người ta muốn chia công viên thành hai khu, một khu dành cho trẻ em, một khu dành cho người lớn. Để tạo thiết kế độc đáo và lạ mắt, người ta dùng một đường cong chia khuôn viên thành hai phần H1 (không tô màu) dành cho trẻ em và H3 (tô màu) dành cho người lớn như hình vẽ bên với AH = 40m; AE = 60m; AP = 20m và EF // AB; PQ // AD. Biết rằng khi xét trong một hệ tọa độ Oxy, đường cong trong hình là một phần của đồ thị hàm số bậc ba. Phần chính giữa công viên người ta muốn mắc dây đèn trang trí dọc đoạn thẳng MN như hình. Biết giá tiền mỗi mét dây trang trí của phần dành cho trẻ em là 130 nghìn đồng và phần dành cho người lớn là 190 nghìn đồng. Tổng số tiền mắc dây đèn trang trí trên đoạn MN là bao nhiêu triệu đồng (làm tròn một chữ số thập phân).
+ Cho một tấm nhôm hình lục giác đều cạnh 60 cm. Người ta cắt ở mỗi đỉnh của tấm nhôm hai hình tam giác vuông bằng nhau, biết cạnh góc vuông nhỏ bằng x (cm) (cắt phần tô đậm của tấm nhôm) rồi gập tấm nhôm như hình vẽ để được một hình lăng trụ lục giác đều không có nắp. Tìm x để thể tích của khối lăng trụ lục giác đều trên là lớn nhất (làm tròn kết quả đến hàng đơn vị).
Download Center
Chọn tài liệu bạn muốn tải về












