z Mục lục tài liệu
Nội dung chi tiết

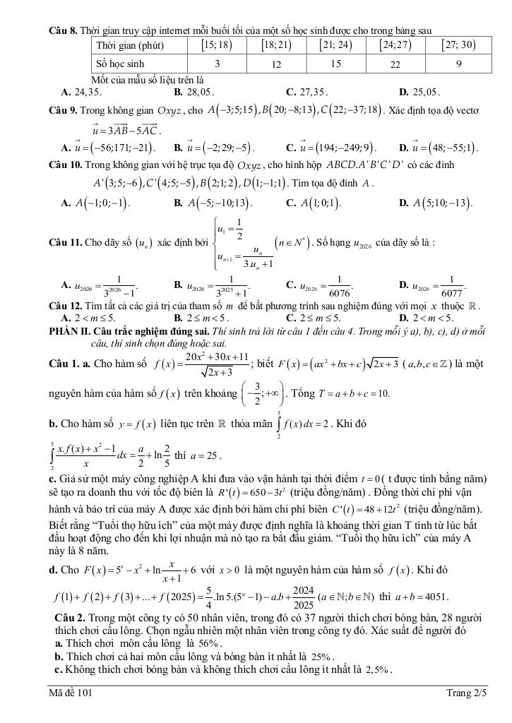
MonToan.com.vn giới thiệu đến quý thầy, cô giáo và các em học sinh đề khảo sát đội tuyển học sinh giỏi môn Toán 12 năm học 2025 – 2026 liên trường THPT: Lý Tự Trọng – Tiểu La – Sào Nam – Nguyễn Trãi – Nguyễn Văn Cừ – Nguyễn Thái Bình – Quế Sơn – Trần Hưng Đạo, thành phố Đà Nẵng. Đề thi gồm 12 câu trắc nghiệm nhiều phương án lựa chọn + 04 câu trắc nghiệm đúng sai + 06 câu trắc nghiệm trả lời ngắn, thời gian làm bài 90 phút.
Trích dẫn Đề khảo sát HSG Toán 12 năm 2025 – 2026 liên trường THPT – Đà Nẵng:
+ Một sinh viên bắt đầu đi làm vào ngày 01/01/2023 với mức lương khởi điểm là a triệu đồng/tháng. Cứ sau mỗi chu kỳ 2 năm, mức lương của anh ta được tăng thêm 10% so với mức lương của chu kỳ trước đó. Biết rằng anh ta dành 60% lương để chi tiêu sinh hoạt và tiết kiệm toàn bộ phần còn lại để mua nhà. Tại thời điểm 01/01/2023, căn nhà anh ta dự định mua có giá 1 tỷ đồng và giá trị này cũng tăng thêm 5% sau mỗi 2 năm. Hỏi mức lương khởi điểm a là bao nhiêu để sau 12 năm anh ta mua được nhà (kết quả làm tròn đến hàng phần chục đơn vị triệu đồng)?
+ Một tháp trưng bày nghệ thuật có dạng khối chóp với đỉnh là S và đáy ABCD là một hình bình hành. Chiều cao của tháp là 9 mét, diện tích đáy ABCD là 10 m². Trên mỗi mặt bên của tháp, người ta thiết kế đặt một đèn trang trí có vị trí tại đúng trọng tâm của mặt đó. Gọi M, N, P và Q lần lượt là trọng tâm của các mặt bên SAB, SBC, SCD và SDA. Ngoài ra, hai cột trang trí được đặt tại các điểm B và D. Hãy giúp người kỹ sư tính thể tích không gian bên trong của khối đa diện lồi được tạo thành bởi các điểm M, N, P, Q, B và D (làm tròn kết quả đến hàng phần trăm).
+ Để trang trí một ô hình chữ nhật với kích thước 80 cm×60 cmchiều ngang 80 chiều dọc 60 (hình vẽ) trên tường căn phòng của mình, anh Bình dự định tô màu hoạ tiết giới hạn bởi parabol (P) và cạnh hình chữ nhật (phần kí hiệu sọc nghiêng) bằng sơn màu vàng; họa tiết giới hạn bởi parabol (C) cùng các cạnh của ô chữ nhật (phần vùng tô đậm) bằng sơn màu xanh (như hình vẽ). Biết rằng các parabol (P) và (C) đối xứng nhau qua đường thẳng AB và diện tích (phần kí hiệu sọc nghiêng) dự định tô sơn vàng bằng 1600/3 cm2. Tính tổng số tiền (đơn vị: triệu đồng) mà anh Bình cần phải trả để mua sơn trang trí. Biết mỗi lọ sơn, sơn được tối đa 30 cm2. Cho biết giá của một lọ sơn vàng là 65000 đồng, giá của một lọ sơn xanh là 45000 đồng (biết rằng mỗi lọ sơn không được bán lẻ).
File WORD (dành cho quý thầy, cô): TẢI XUỐNG
Download Center
Chọn tài liệu bạn muốn tải về












