z Mục lục tài liệu
Nội dung chi tiết

1 / 6
Quý thầy cô và học sinh đang tham khảo ôn tập cuối học kỳ 2 toán 9 năm 2025 – 2026 trường thcs ngọc thụy – hà nội, bộ đề thi được xây dựng bám sát chuẩn toán cập nhật nhất. Cấu trúc đề bảo đảm độ phủ kiến thức đồng đều, mức độ câu hỏi được cân chỉnh từ nhận biết đến vận dụng cao, phù hợp kiểm tra toàn diện năng lực. Hãy khai thác triệt để tài liệu này để đánh giá chính xác trình độ hiện tại và tối ưu chiến lược luyện thi của bạn.
MonToan.com.vn giới thiệu đến quý thầy, cô giáo và các em học sinh đề cương hướng dẫn nội dung ôn tập cuối học kỳ 2 môn Toán 9 năm học 2025 – 2026 trường THCS Ngọc Thụy, phường Bồ Đề, thành phố Hà Nội.
A. LÝ THUYẾT.
Nội dung ôn tập dừng đến tuần 27.
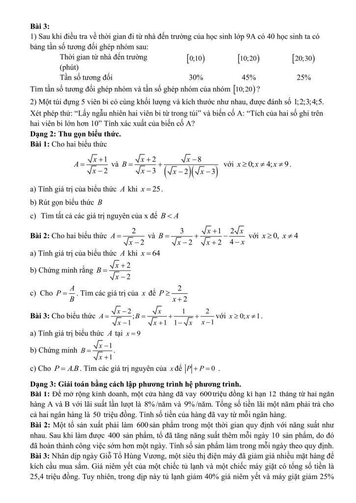
B. BÀI TẬP.
Dạng 1: Thống kê và xác xuất.
Dạng 2: Thu gọn biểu thức.
Dạng 3: Giải toán bằng cách lập phương trình – hệ phương trình.
Dạng 4: Hình học.
Dạng 5: Nâng cao.
C. ĐỀ MINH HỌA.
Bạn đang khám phá nội dung ôn tập cuối học kỳ 2 toán 9 năm 2025 – 2026 trường thcs ngọc thụy – hà nội trong chuyên mục sgk toán 9 trên nền tảng toán. Được biên soạn chuyên sâu và bám sát chương trình sách giáo khoa hiện hành, bộ bài tập toán thcs này cam kết tối ưu hóa toàn diện quá trình ôn luyện, củng cố kiến thức Toán lớp 9 cho học sinh, đặc biệt là chuẩn bị cho các kỳ thi quan trọng, thông qua phương pháp tiếp cận trực quan và mang lại hiệu quả học tập vượt trội.
Download Center
Chọn tài liệu bạn muốn tải về












