z Mục lục tài liệu
Nội dung chi tiết

MonToan.com.vn giới thiệu đến quý thầy, cô giáo và các em học sinh tài liệu ôn tập cuối học kỳ 2 môn Toán 11 năm học 2025 – 2026 trường THPT Trần Phú, thành phố Đà Nẵng.

A/ MA TRẬN ĐỀ KIỂM TRA
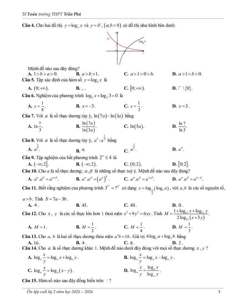
1 Hàm số mũ và hàm số logarit (8 tiết).
+ Lũy thừa với mũ số thực.
+ Lôgarit.
+ Hàm số mũ và hàm số lôgarit.
+ Phương trình, bất phương trình mũ và logarit.
2 Quan hệ vuông góc trong không gian (20 tiết).
+ Hai đường thẳng vuông góc.
+ Đường thẳng vuông góc với mặt phẳng.
+ Phép chiếu vuông góc. Góc giữa đường thẳng và mặt phẳng.
+ Hai mặt phẳng vuông góc.
+ Khoảng cách.
+ Thể tích.
3 Các quy tắc tính xác suất.
+ Biến cố hợp, biến cố giao, biến cố độc lập.
+ Công thức cộng xác suất.
+ Công thức nhân xác suất cho hai biến cố độc lập.
B/ CÂU HỎI ÔN TẬP THEO CHƯƠNG
Download Center
Chọn tài liệu bạn muốn tải về
















