z Mục lục tài liệu
Nội dung chi tiết

1 / 10
Quý thầy cô và học sinh đang tham khảo bộ đề ôn tập môn toán 12 chủ đề vectơ và hệ trục tọa độ trong không gian, bộ đề thi được xây dựng bám sát chuẩn toán math cập nhật nhất. Cấu trúc đề bảo đảm độ phủ kiến thức đồng đều, mức độ câu hỏi được cân chỉnh từ nhận biết đến vận dụng cao, phù hợp kiểm tra toàn diện năng lực. Hãy khai thác triệt để tài liệu này để đánh giá chính xác trình độ hiện tại và tối ưu chiến lược luyện thi của bạn.
Tài liệu gồm 71 trang, được biên soạn bởi thầy giáo Lê Bá Bảo, tuyển tập bộ đề ôn tập môn Toán 12 chủ đề vectơ và hệ trục tọa độ trong không gian.

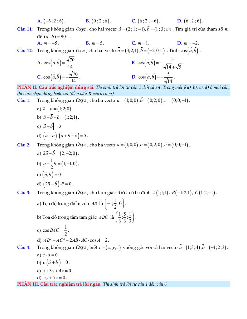
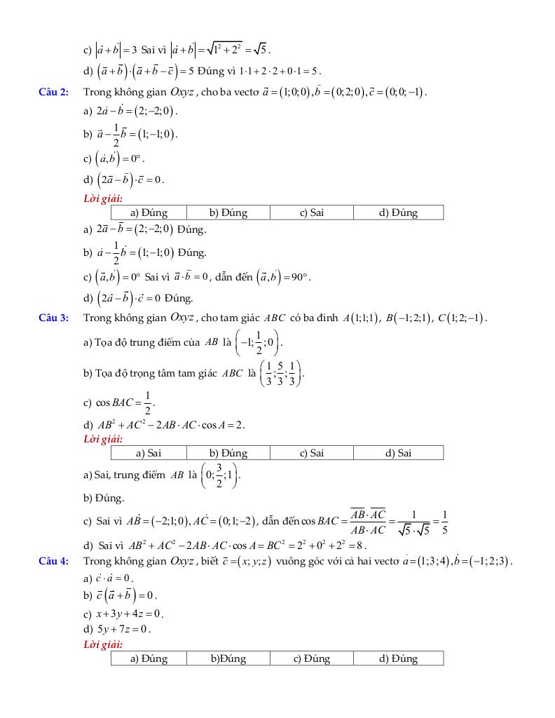
Các đề kiểm tra được biên soạn theo định hướng cấu trúc mới nhất, gồm 03 phần: trắc nghiệm với nhiều phương án lựa chọn, trắc nghiệm đúng sai, trắc nghiệm trả lời ngắn; có đáp án và lời giải chi tiết.
Bạn đang khám phá nội dung bộ đề ôn tập môn toán 12 chủ đề vectơ và hệ trục tọa độ trong không gian trong chuyên mục bài toán lớp 12 trên nền tảng toán math. Được biên soạn chuyên sâu và bám sát chặt chẽ chương trình sách giáo khoa hiện hành, bộ bài tập toán thpt này cam kết tối ưu hóa toàn diện quá trình ôn luyện, củng cố kiến thức Toán lớp 12 cho học sinh THPT, thông qua phương pháp tiếp cận trực quan và mang lại hiệu quả học tập vượt trội, tạo nền tảng vững chắc cho Kỳ thi Tốt nghiệp THPT Quốc gia và hành trang vào đại học.
Download Center
Chọn tài liệu bạn muốn tải về
















