z Mục lục tài liệu
Nội dung chi tiết

Tài liệu gồm 118 trang, được biên soạn bởi thầy giáo Lê Bá Bảo, bao gồm lý thuyết và bài tập chuyên đề hàm số lượng giác môn Toán 11 định hướng cấu trúc mới.

A. LÝ THUYẾT.
1. Hàm số y = sin x.
2. Hàm số y = cos x.
3. Hàm số y = tan x.
4. Hàm số y = cot x.
B. MỘT SỐ DẠNG TOÁN THƯỜNG GẶP.
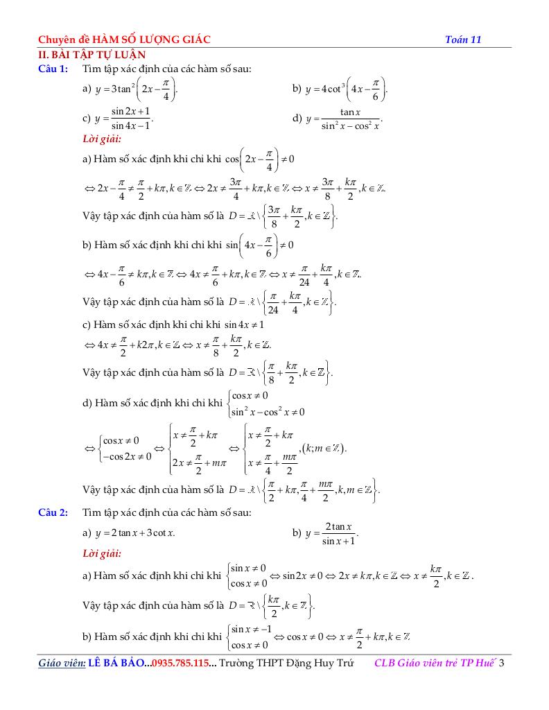
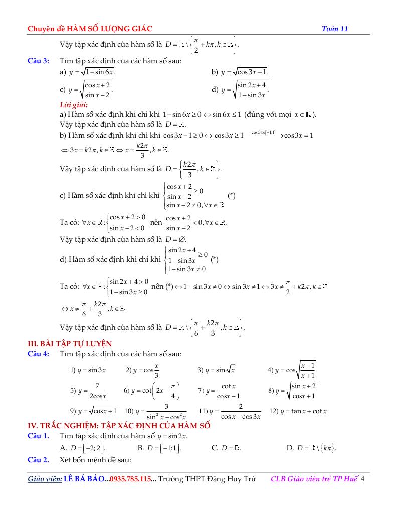
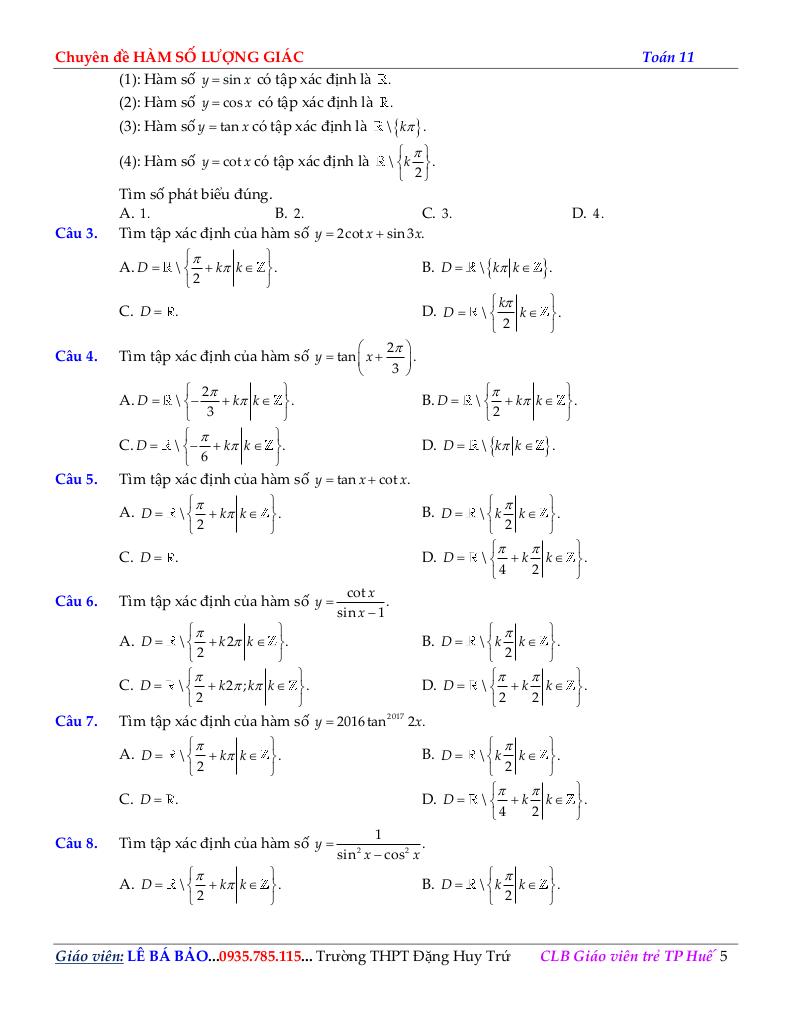
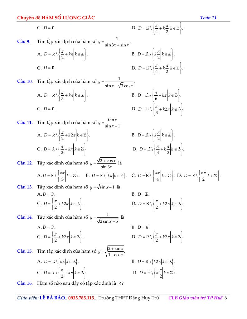
+ Dạng 1. Tìm tập xác định của hàm số.
+ Dạng 2. Tìm giá trị lớn nhất và giá trị nhỏ nhất của hàm số.
+ Dạng 3. Xét tính chẵn lẻ của hàm số.
+ Dạng 4. Xác định tính tuần hoàn của các hàm số lượng giác.
C. TRẮC NGHIỆM CHUYÊN ĐỀ HÀM SỐ LƯỢNG GIÁC ĐỊNH HƯỚNG CẤU TRÚC MỚI.
+ Phần 1. Câu trắc nghiệm với nhiều phương án lựa chọn.
+ Phần 2. Câu trắc nghiệm đúng sai.
+ Phần 3. Câu trắc nghiệm trả lời ngắn.
+ Phần 4. Câu hỏi tự luận.
Download Center
Chọn tài liệu bạn muốn tải về
















