z Mục lục tài liệu
Nội dung chi tiết

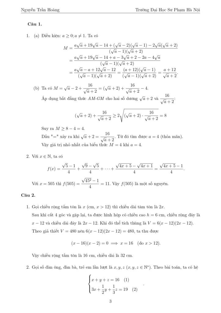
MonToan.com.vn giới thiệu đến quý thầy, cô giáo và các em học sinh đề chính thức kỳ thi chọn học sinh giỏi môn Toán 9 năm học 2025 – 2026 sở Giáo dục và Đào tạo tỉnh Quảng Trị. Kỳ thi được diễn ra vào ngày 09 tháng 03 năm 2026. Đề thi có đáp án và lời giải chi tiết.
Trích dẫn Đề chọn học sinh giỏi Toán 9 năm 2025 – 2026 sở GD&ĐT Quảng Trị:
+ Từ một tấm tôn hình chữ nhật có chiều dài gấp đôi chiều rộng, người ta cắt bỏ bốn hình vuông có độ dài cạnh 6 cm ở bốn góc, sau đó gập thành một chiếc thùng có dạng hình hộp chữ nhật không có nắp và có thể tích bằng 480 cm³. Tính độ dài các cạnh của tấm tôn hình chữ nhật ban đầu.
+ Một nhóm có 16 người (bao gồm đàn ông, đàn bà và trẻ em) đi nghỉ mát ở bãi biển Nhật Lệ. Họ chia nhau mang theo 19kg vật dụng và lương thực. Mỗi người đàn ông mang theo 3kg, mỗi nhóm hai người đàn bà mang theo 1kg, mỗi nhóm ba trẻ em mang theo 1kg. Tính số người đàn ông, số người đàn bà và số trẻ em trong nhóm đó.
+ Một con kiến di chuyển một cách ngẫu nhiên theo các đường kẻ từ A đến C (như hình vẽ). Khi tới các ngã rẽ, con kiến luôn di chuyển sang phải hoặc di chuyển lên trên. Tính xác suất để trên đường đi từ A đến C, con kiến phải di chuyển qua điểm B.
Download Center
Chọn tài liệu bạn muốn tải về












