z Mục lục tài liệu
Nội dung chi tiết

MonToan.com.vn giới thiệu đến quý thầy, cô giáo và các em học sinh đề cương ôn tập cuối học kì 1 môn Toán 9 năm học 2025 – 2026 trường THCS Thọ Lộc, xã Phúc Thọ, thành phố Hà Nội.
PHẦN I. TÓM TẮT NỘI DUNG KIẾN THỨC.
I. Phương trình và hệ hai phương trình bậc nhất hai ẩn.
– Khái niệm phương trình và hệ hai phương trình bậc nhất hai ẩn.
– Giải hệ hai phương trình bậc nhất hai ẩn.
– Giải bài toán bằng cách lập hệ phương trình.
II. Phương trình và bất phương trình bậc nhất một ẩn.
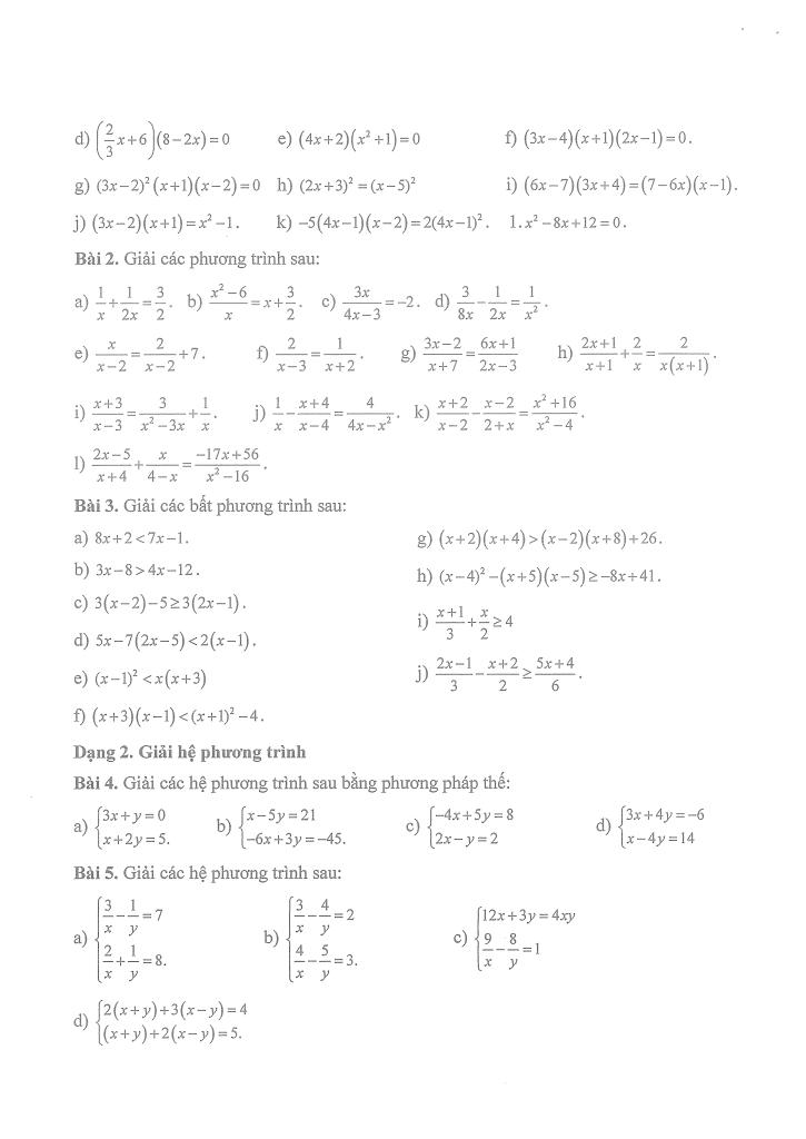
– Phương trình quy về phương trình bậc nhất một ẩn.
– Bất đẳng thức và tính chất.
– Bất phương trình bậc nhất một ẩn.
III. Căn bậc hai.
– Các phép biến đổi căn thức bậc hai.
– Rút gọn biểu thức chứa căn và câu hỏi phụ liên quan.
– Căn bậc ba và căn thức bậc ba.
IV. Hệ thức lượng trong tam giác vuông.
– Tỉ số lượng giác của góc nhọn.
– Một số hệ thức giữa cạnh, góc trong tam giác vuông và ứng dụng.
V. Đường tròn.
– Độ dài cung tròn, diện tích hình quạt tròn và diện tích hình vành khuyên.
– Vị trí tương đối của đường thẳng và đường tròn.
– Dấu hiệu nhận biết tiếp tuyến của đường tròn, tính chất hai tiếp tuyến cắt nhau.
PHẦN II. MỘT SỐ BÀI TẬP THAM KHẢO.
Download Center
Chọn tài liệu bạn muốn tải về












