z Mục lục tài liệu
Nội dung chi tiết

MonToan.com.vn giới thiệu đến quý thầy, cô giáo và các em học sinh đề cương ôn tập cuối học kỳ 1 môn Toán 9 năm học 2025 – 2026 trường THCS Nguyễn Du, thành phố Hà Nội.
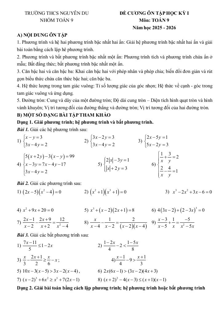
A) NỘI DUNG ÔN TẬP
1. Phương trình và hệ hai phương trình bậc nhất hai ẩn: Giải hệ phương trình bậc nhất hai ẩn và giải bài toán bằng cách lập hê phương trình.
2. Phương trình và bất phương trình bậc nhất một ẩn: Phương trình tích và phương trình chứa ẩn ở mẫu; Bất đẳng thức; bất phương trình bậc nhất một ẩn.
3. Căn bậc hai và căn bậc ba: Khai căn bậc hai với phép nhân và phép chia; biến đổi đơn giản và rút gọn biểu thức chứa căn thức bậc hai; căn bậc ba.
4. Hệ thức lượng trong tam giác vuông: Tỉ số lượng giác của góc nhọn; Hệ thức về cạnh – góc trong tam giác vuông và ứng dụng.
5. Đường tròn: Cung và dây của một đường tròn; Độ dài cung tròn – Diện tích hình quạt tròn và hình vành khuyên; Vị trí tương đối của đường thẳng và đường tròn; Vị trí tương đối của hai đường tròn.
B) MỘT SỐ DẠNG BÀI TẬP THAM KHẢO
Dạng 1. Giải phương trình; hệ phương trình và bất phương trình.
Dạng 2. Giải bài toán bằng cách lập phương trình; hệ phương trình hoặc bất phương trình.
Dạng 3. Rút gọn biểu thức chứa căn và câu hỏi phụ liên quan.
Dạng 4. Toán hình có nội dung thực tế.
Dạng 5. Hình học.
File WORD (dành cho quý thầy, cô): TẢI XUỐNG
Download Center
Chọn tài liệu bạn muốn tải về












