z Mục lục tài liệu
Nội dung chi tiết

MonToan.com.vn giới thiệu đến quý thầy, cô giáo và các em học sinh đề cương ôn tập kiểm tra giữa học kỳ 1 môn Toán 11 năm học 2025 – 2026 trường THPT Sơn Động số 3, tỉnh Bắc Ninh.
1. Lý thuyết.
Phần 1: Hàm số lượng giác và phương trình lượng giác.
– Giá trị lượng giác của góc lượng giác: Góc lượng giác, hệ thức Chales, đơn vị đo góc và độ dài cung tròn, độ dài cung tròn, các giá trị lượng giác của góc lượng giác, quan hệ giữa các giá trị lượng giác.
– Công thức lượng giác: công thức cộng, công thức nhân đôi, công thức biến đổi tích thành tổng, công thức biến đổi tổng thành tích.
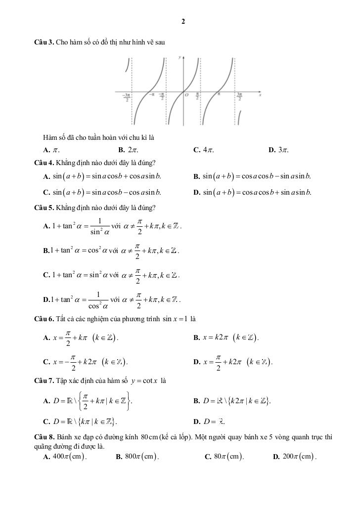
– Hàm số lượng giác: hàm số chẵn, hàm số lẻ, hàm số tuần hoàn, đồ thị và tính chất hàm số y = sinx, y = cosx, y = tan x, y = cot x.
– Phương trình lượng giác cơ bản: công thức nghiệm, cách giải phương trình sin x = m; cos x = m, tan x = m, cot x = m.
Phần 2: Quan hệ song song trong không gian.
– Đường thẳng và mặt phẳng trong không gian: Các tính chất thừa nhận, cách xác định 1 mặt phẳng.
– Hai đường thẳng song song: Vị trí tương đối của 2 đường thẳng, tính chất của 2 đường thẳng song song.
2. Một số dạng bài tập cơ bản.
– Đổi đơn vị đo góc từ độ sang radian và ngược lại.
– Tính độ dài cung tròn.
– Tính giá trị lượng giác khi biết một giá trị lượng giác cho trước.
– Rút gọn biểu thức lượng giác.
– Tìm tập xác định, tập giá trị, tính chẵn lẻ, chu kì tuần hoàn, đồ thị của hàm số lượng giác.
– Giải phương trình lượng giác.
– Tìm giao tuyến của hai mặt phẳng; giao điểm của đường thẳng và mặt phẳng; thiết diện của hình chóp.
– Chứng minh hai đường thẳng song song.
3. Đề minh họa.
Download Center
Chọn tài liệu bạn muốn tải về










