z Mục lục tài liệu
Nội dung chi tiết

MonToan.com.vn giới thiệu đến quý thầy, cô giáo và các em học sinh đề cương ôn tập giữa học kỳ 1 môn Toán 11 năm học 2025 – 2026 trường THPT Hoàng Văn Thụ, thành phố Hà Nội.
1. MỤC TIÊU
1.1. Kiến thức: Học sinh ôn tập các kiến thức về:
– Giá trị lượng giác của một góc lượng giác.
– Công thức lượng giác.
– Hàm số lượng giác.
– Phương trình lượng giác cơ bản.
– Dãy số.
– Cấp số cộng.
– Đường thẳng và mặt phẳng trong không gian.
– Hai đường thẳng song song.
– Đường thẳng và mặt phẳng song song.
1.2. Kĩ năng: Học sinh rèn luyện các kĩ năng:
– Xác định được các giá trị lượng giác của góc lượng giác; biết được mối quan hệ giữa các giá trị lượng giác của các góc lượng giác có liên quan đặc biệt.
– Biết áp dụng các phép biến đổi lượng giác: công thức cộng, công thức nhân đôi, công thức biến đổi tổng thành tích, công thức biến đổi tích thành tổng.
– Biết biết được tính chẵn, lẻ và tuần hoàn của một hàm số lượng giác; nhận dạng đồ thị của các hàm số lượng giác cơ bản.
– Biết giải quyết một số vấn đề thực tiễn liên quan giá trị lượng giác, hàm số lượng giác và các phép biến đổi lượng giác.
– Biết giải các phương trình lượng giác cơ bản.
– Biết tìm số hạng của dãy số cho bởi liệt kê các số hạng, công thức tổng quát, hệ thức truy hồi, mô tả.
– Biết chứng minh dãy số tăng, giảm, bị chặn cơ bản, dãy số là cấp số cộng.
– Biết tìm giao tuyến của hai mặt phẳng, giao điểm của đường thẳng và mặt phẳng.
– Biết chứng minh hai đường thẳng song song và đường thẳng song song với mặt phẳng trong không gian.
– Vận dụng các kiến thức về hai đường thẳng song song để tìm giao tuyến của hai mặt phẳng.
2. NỘI DUNG
2.1. Ma trận đề kiểm tra giữa học kỳ 1 môn Toán 11.
1 Giá trị lượng giác của một góc lượng giác.
2 Công thức lượng giác.
3 Hàm số lượng giác.
4 Phương trình lượng giác cơ bản.
5 Dãy số.
6 Cấp số cộng.
7 Đường thẳng và mặt phẳng trong không gian.
8 Hai đường thẳng song song.
9 Đường thẳng song song mặt phẳng.
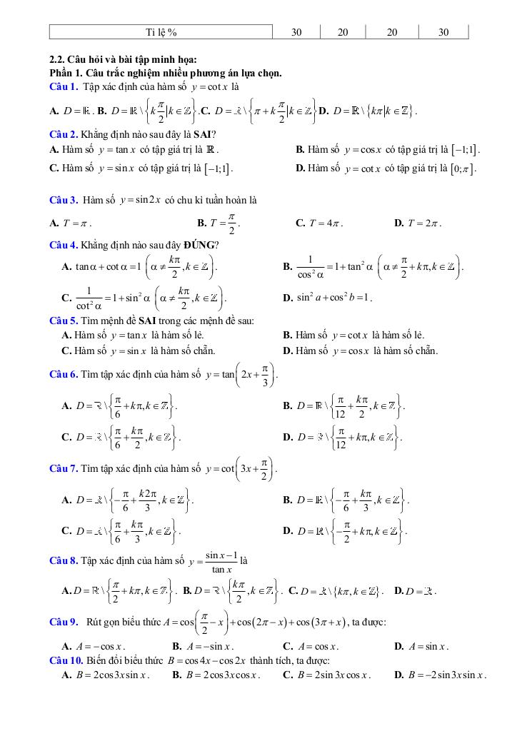
2.2. Câu hỏi và bài tập minh họa.
– Phần 1. Câu trắc nghiệm nhiều phương án lựa chọn.
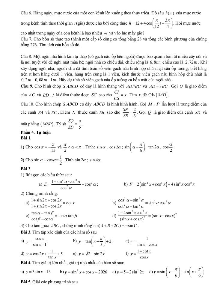
– Phần 2. Câu trắc nghiệm đúng sai.
– Phần 3. Trả lời ngắn.
– Phần 4. Tự luận.
2.3. Đề minh họa.
Download Center
Chọn tài liệu bạn muốn tải về
















