z Mục lục tài liệu
Nội dung chi tiết

MonToan.com.vn giới thiệu đến quý thầy, cô giáo và các em học sinh đề cương ôn tập giữa học kỳ 2 môn Toán 11 năm học 2025 – 2026 trường THPT Đức Trọng, tỉnh Lâm Đồng.
A. KIẾN THỨC CƠ BẢN CẦN NẮM VỮNG
BÀI 18: LŨY THỪA VỚI SỐ MŨ THỰC.
– Nhận biết khái niệm lũy thừa với số mũ nguyên của một số thực khác 0 ; lũy thừa với số mũ hữu tỉ và lũy thừa với số mũ thực của một số thực dương.
– Giải thích các tính chất của lũy thừa với số mũ nguyên, lũy thừa với số mũ hữu tỉ và lũy thừa với số mũ thực.
– Sử dụng tính chất của phép tính lũy thừa trong tính toán các biểu thức số và rút gọn các biểu thức chứa biến.
– Tính giá trị biểu thức số có chứa phép tính lũy thừa bằng cách sử dụng máy tính cầm tay.
– Giải quyết một số vấn đề có liên quan đến môn học khác hoặc thực tiễn gắn liền với phép tính lũy thừa.
BÀI 19: LÔGARIT.
– Nhận biết khái niệm lôgarit cơ số a của một số thực dương.
– Giải thích các tính chất của phép tính lôgarit nhờ sử dụng định nghĩa hoặc các tính chất đã biết trước đó.
– Sử dụng tính chất của phép tính lôgarit trong tính toán các biểu thức số và rút gọn các biểu thức chứa biến.
– Tính giá trị (đúng hoặc gần đúng) của lôgarit bằng cách sử dụng máy tính cầm tay.
– Giải quyết một số vấn đề có liên quan đến môn học khác hoặc thực tiễn gắn với phép tính lôgarit.
BÀI 20: HÀM SỐ MŨ VÀ HÀM SỐ LÔGARIT.
– Nhận biết hàm số mũ và hàm số logarit. Nêu một số ví dụ thực tế về hàm số mũ, hàm số logarit.
– Nhận dạng đồ thị của các hàm số mũ, hàm số logarit.
– Giải thích các tính chất của hàm số mũ, hàm số logarit thông qua đồ thị của chúng.
– Giải quyết một số vấn đề có liên quan đến môn học khác hoặc thực tiễn gắn với hàm số mũ và hàm số logarit.
BÀI 21: PHƯƠNG TRÌNH, BẤT PHƯƠNG TRÌNH MŨ VÀ LÔGARIT.
– Giải phương trình, bất phương trình mũ và lôgarit ở dạng đơn giản.
– Giải quyết một số vấn đề liên môn hoặc có liên quan đến thực tiển gắn với phương trình, bất phương trình mũ và lôgarit.
BÀI 22: HAI ĐƯỜNG THẲNG VUÔNG GÓC.
– Nhận biết góc giữa hai đường thẳng.
– Nhận biết hai đường thẳng vuông góc.
– Chứng minh hai đường thẳng vuông góc trong một số tình huống đơn giản.
-Vận dụng kiến thức về quan hệ vuông góc giữa hai đường thẳng để mô tả một số hình ảnh thực tế.
BÀI 23: ĐƯỜNG THẲNG VUÔNG GÓC VỚI MẶT PHẲNG.
– Nhận biết đường thẳng vuông góc với mặt phẳng.
– Điều kiện để đường thẳng vuông góc với mặt phẳng.
– Giải thích mối liên hệ giữa quan hệ song song và quan hệ vuông góc của đường thẳng và mặt phẳng.
– Vận dụng kiến thức về quan hệ vuông góc giữa đường thẳng và mặt phẳng vào thực tế.
BÀI 24: PHÉP CHIẾU VUÔNG GÓC.
– Nhận biết phép chiếu vuông góc.
– Xác định hình chiếu vuông góc của một điểm, một đường thẳng, một tam giác.
– Giải thích định lí ba đường vuông góc.
– Nhận biết và tính góc giữa đường thẳng và mặt phẳng trong một số trường hợp đơn giản.
– Vận dụng kiến thức về góc giữa đường thẳng và mặt phẳng để mô tả một số hình ảnh thực tế.
BÀI 25: HAI MẶT PHẲNG VUÔNG GÓC.
– Nhận biết góc giữa hai mặt phẳng, hai mặt phẳng vuông góc.
– Xác định điều kiện hai mặt phẳng vuông góc.
– Giải thích tính chất cơ bản của hai mặt phẳng vuông góc.
– Nhận biết góc phẳng của góc nhị diện, tính góc phẳng nhị diện trong một số trường hợp đơn giản.
– Giải thích tính chất cơ bản của hình chóp đều, hình lăng trụ đứng (và các trường hợp đặc biệt của nó).
– Vận dụng kiến thức của bài học để mô tả một số hình ảnh thực tế.
BÀI 26: KHOẢNG CÁCH.
– Xác định khoảng cách giữa các đối tượng điểm, đường thẳng, mặt phẳng.
– Xác định đường vuông góc chung của hai đường thẳng chéo nhau trong các trường hợp đơn giản.
– Vận dụng kiến thức về khoảng cách vào một số tình huống thực tế.
BÀI 27: THỂ TÍCH.
– Nhận biết công thức tính thể tích của khối chóp, khối lăng trụ, khối hộp, khối chóp cụt đều.
– Tính thể tích của khối chóp, khối lăng trụ, khối hộp, khối chóp cụt đều trong một số tình huống đơn giản.
– Vận dụng kiến thức, kỹ năng về thể tích vào một số bài toán thực tế.
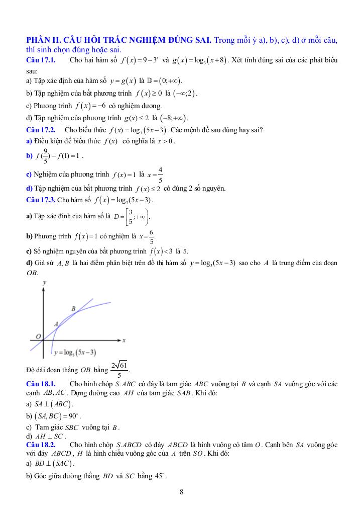
B. BÀI TẬP LUYỆN TẬP
File WORD (dành cho quý thầy, cô): TẢI XUỐNG
Download Center
Chọn tài liệu bạn muốn tải về
















