z Mục lục tài liệu
Nội dung chi tiết

MonToan.com.vn giới thiệu đến quý thầy, cô giáo và các em học sinh đề cương ôn tập học kỳ 2 môn Toán 11 năm học 2025 – 2026 trường THPT Yên Hòa, thành phố Hà Nội.
ĐẠI SỐ:
1 Chương V: Giới hạn. Hàm số liên tục.
1. Tính giới hạn của dãy số và ứng dụng.
2. Tính giới hạn của hàm số và ứng dụng.
3. Xét tính liên tục của hàm số tại một điểm, trên một khoảng, trên một đoạn.
2 Chương VI: Hàm số mũ và hàm số logarit.
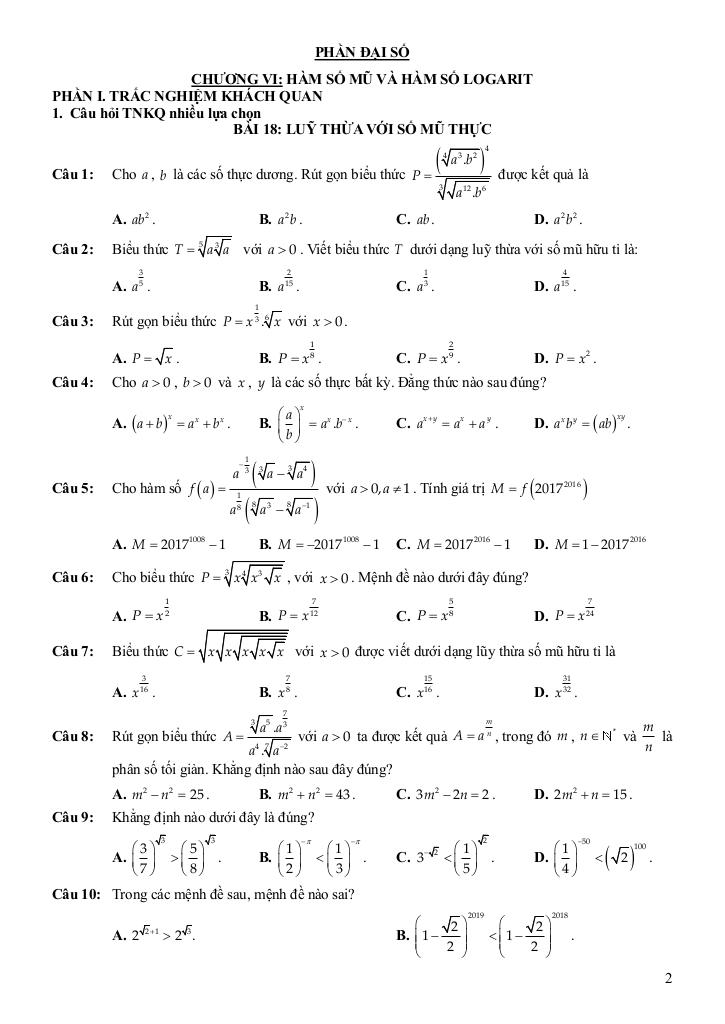
4. Lũy thừa với số mũ thực.
5. Lôgarit.
6. Hàm số mũ và hàm số lôgarit.
7. Phương trình, bất phương trình mũ và lôgarit.
3 Chương VIII: Các quy tắc tính xác suất.
1. Biến cố hợp, biến cố giao. Biến cố độc lập.
2. Công thức cộng xác suất.
3. Công thức nhân xác suất cho hai biến cố độc lập.
4 Chương IX: Đạo hàm.
1. Đạo hàm.
2. Các quy tắc tính đạo hàm.
3. Đạo hàm cấp hai.
HÌNH HỌC:
5 Chương VII: Quan hệ vuông góc trong không gian.
1. Hai đường thẳng vuông góc.
2. Đường thẳng vuông góc với mặt phẳng.
3. Phép chiếu vuông góc. Góc giữa đường thẳng và mặt phẳng.
4. Hai mặt phẳng vuông góc.
5. Khoảng cách.
6. Thể tích.
Download Center
Chọn tài liệu bạn muốn tải về
















