z Mục lục tài liệu
Nội dung chi tiết

MonToan.com.vn giới thiệu đến quý thầy, cô giáo và các em học sinh đề kiểm tra giữa học kỳ 1 môn Toán 11 năm học 2025 – 2026 trường THPT Điền Hải, tỉnh Cà Mau. Đề thi có đáp án mã đề 101 102 103 104.
Trích dẫn Đề giữa học kỳ 1 Toán 11 năm 2025 – 2026 trường THPT Điền Hải – Cà Mau:
+ Một chiếc bánh xe nước có dạng hình tròn bán kính 3,5m, trục của nó đặt cách mặt nước 3m (hình bên dưới). Khi bánh xe nước quay đều, khoảng cách h (mét) tính từ một chiếc gầu gắn tại điểm A trên bánh xe nước đến mặt nước là h = |y| trong đó y = 3 + 3,5sin(2πx – π/2) với x là thời gian quay của bánh xe nước (x ≥ 0), tính bằng phút; ta quy ước rằng y /> 0 khi gầu ở trên mặt nước và y < 0 khi gầu ở dưới mặt nước. Hỏi chiếc gầu cách mặt nước 3m lần đầu tiên khi nào? (kết quả làm tròn đến chữ số thập phân thứ nhất sau dấu phẩy).
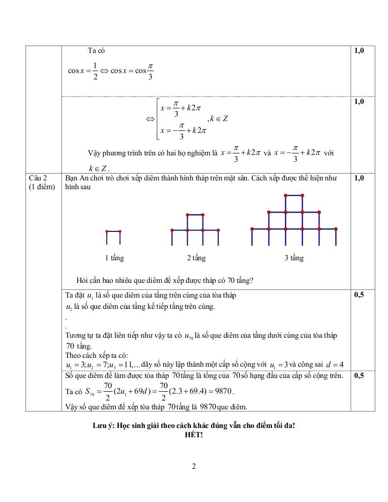
+ Bạn An chơi trò chơi xếp diêm thành hình tháp trên mặt sân. Cách xếp được thể hiện như hình sau: 1 tầng – 2 tầng – 3 tầng. Hỏi cần bao nhiêu que diêm để xếp được tháp có 70 tầng?
Download Center
Chọn tài liệu bạn muốn tải về










