z Mục lục tài liệu
Nội dung chi tiết

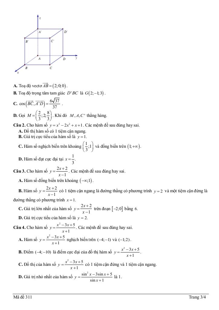
MonToan.com.vn giới thiệu đến quý thầy, cô giáo và các em học sinh đề kiểm tra giữa học kỳ 1 môn Toán 12 năm học 2025 – 2026 trường THPT Huỳnh Thúc Kháng, tỉnh Nghệ An. Đề thi gồm 12 câu trắc nghiệm nhiều phương án lựa chọn + 04 câu trắc nghiệm đúng sai + 06 câu trắc nghiệm trả lời ngắn, thời gian làm bài 90 phút, có đáp án mã đề 311 – 312.
Trích dẫn Đề giữa học kỳ 1 Toán 12 năm 2025 – 2026 trường THPT Huỳnh Thúc Kháng – Nghệ An:
+ Độ giảm huyết áp của một bệnh nhân được cho bởi công thức H(x) = 0,025×2(30 – x), trong đó x là liều thuốc được tiêm cho bệnh nhân (x được tính bằng miligam). Để huyết áp của bệnh nhân giảm dần theo liều lượng thuốc được tiêm, người ta cần tiêm thuốc với liều lượng trong khoảng (a;b). Tính giá trị b – a.
+ Một cái hồ rộng có hình chữ nhật, tại một góc hồ người ta đóng một cái cọc ở vị trí K cách bờ AB là 2m và cách bờ AD là 6m, rồi dùng một cây sào thẳng PQ ngăn một góc của hồ để nuôi vịt (như hình vẽ). Tính chiều dài ngắn nhất của cây sào để cây sào có thể chạm vào hai bờ AB, AD và cây cọc K. (Kết quả làm tròn đến hàng phần chục của mét).
+ Một chiếc xe đang kéo căng sợi dây cáp AB trong công trường xây dựng, trên đó đã thiết lập hệ trục tọa độ Oxyz như hình với độ dài đơn vị trên các trục bằng 1m. Biết độ dài AO = 10m, OB = 15m, BOH = 30, tọa độ của AB = (a;b;c). Tính giá trị biểu thức a + c?
File WORD (dành cho quý thầy, cô): TẢI XUỐNG
Download Center
Chọn tài liệu bạn muốn tải về
















