z Mục lục tài liệu
Nội dung chi tiết

MonToan.com.vn giới thiệu đến quý thầy, cô giáo và các em học sinh đề kiểm tra giữa học kỳ 1 môn Toán 7 năm học 2025 – 2026 trường THCS Trưng Vương, thành phố Hà Nội. Đề thi có đáp án, lời giải chi tiết và hướng dẫn chấm điểm.
Trích dẫn Đề giữa học kỳ 1 Toán 7 năm 2025 – 2026 trường THCS Trưng Vương – Hà Nội:
+ Bác Hiệp gửi vào ngân hàng 80 triệu đồng với kì hạn 1 năm, lãi suất 4, 5 %/năm. a) Tính số tiền bác thu được (kể cả gốc và lãi) sau kì hạn 1 năm. b) Sau kì hạn 1 năm, bác rút ra 3/4 số tiền (kể cả gốc và lãi). Biết số tiền bác rút ra vừa đủ để mua 150 suất quà cho các trẻ em có hoàn cảnh khó khăn. Tính giá trị của mỗi suất quà bác đã mua.
+ Vẽ hình theo các diễn đạt sau: + Vẽ góc xOy có số đo bằng 60. Lấy điểm A thuộc tia Ox. + Vẽ đường thẳng m đi qua điểm A và song song với tia Oy. + Vẽ đường thẳng d đi qua điểm A và vuông góc với tia Oy tại điểm B. b) Chứng minh đường thẳng d vuông góc với đường thẳng m.
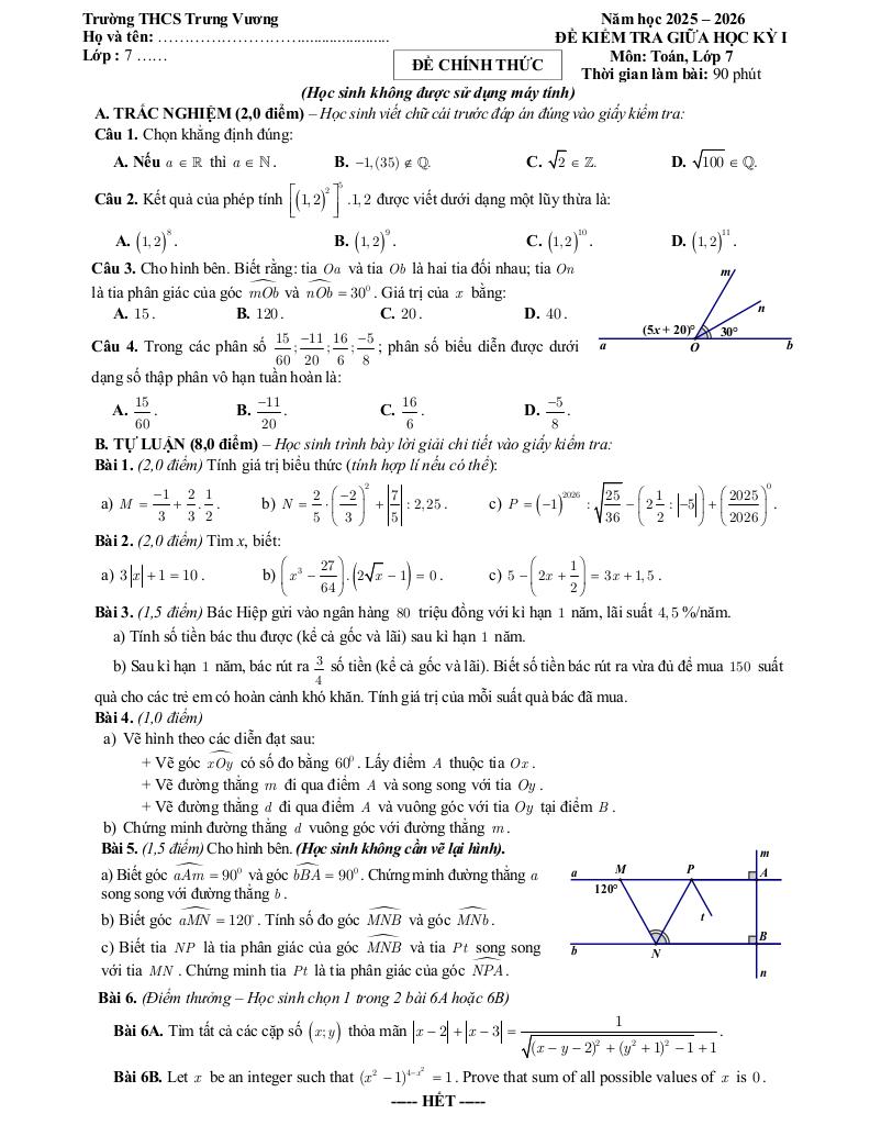
+ Cho hình bên. (Học sinh không cần vẽ lại hình). a) Biết góc aAm = 90 và góc bBA = 90. Chứng minh đường thẳng a song song với đường thẳng b. b) Biết góc aMN = 120. Tính số đo góc MNB và góc MNb. c) Biết tia NP là tia phân giác của góc MNB và tia Pt song song với tia MN. Chứng minh tia Pt là tia phân giác của góc NPA.
Download Center
Chọn tài liệu bạn muốn tải về









