z Mục lục tài liệu
Nội dung chi tiết

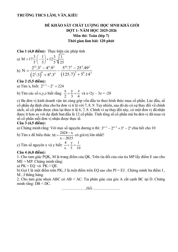
MonToan.com.vn giới thiệu đến quý thầy, cô giáo và các em học sinh đề khảo sát chất lượng học sinh khá giỏi môn Toán 7 đợt 1 năm học 2025 – 2026 cụm THCS Lâm-Văn-Kiều, tỉnh Nghệ An. Đề thi có đáp án, lời giải chi tiết và hướng dẫn chấm điểm.
Trích dẫn Đề KSCL học sinh giỏi Toán 7 đợt 1 năm 2025 – 2026 cụm THCS Lâm-Văn-Kiều – Nghệ An:
+ Ba đơn vị kinh doanh vận tải cùng góp vốn đầu tư theo hình thức mua cổ phần. Lúc đầu, số cổ phần dự định chia cho ba đơn vị tỉ lệ với 7, 8, 9. Tuy nhiên, sau đó do có sự thay đổi về chính sách, số cổ phần được chia lại theo tỉ lệ 6, 7, 8. Chính vì sự thay đổi này, có một đơn vị đã nhận được ít hơn so với dự định ban đầu là 12 cổ phần. Tính tổng số cổ phần mà ba đơn vị đã mua và số cổ phần mỗi đơn vị nhận được thực tế.
+ Cho tam giác PQK, M là trung điểm của QK. Trên tia đối của của tia MP lấy điểm E sao cho ME = MP. Chứng minh rằng: a) PK = EQ và PK // QE. b) Gọi I là một điểm trên PK; J là một điểm trên EQ sao cho PI = EJ. Chứng minh ba điểm I, M, J thẳng hàng.
+ Cho tam giác nhọn ABC có AB < AC. Tia phân giác của góc A cắt cạnh BC tại D. Chứng minh rằng: DB < DC.
File WORD (dành cho quý thầy, cô): TẢI XUỐNG
Download Center
Chọn tài liệu bạn muốn tải về












