z Mục lục tài liệu
Nội dung chi tiết

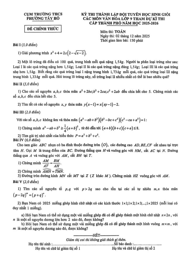
MonToan.com.vn giới thiệu đến quý thầy, cô giáo và các em học sinh đề thi thành lập đội tuyển học sinh giỏi môn Toán 9 tham dự kì thi cấp thành phố năm học 2025 – 2026 cụm trường THCS phường Tây Hồ, thành phố Hà Nội. Kỳ thi được diễn ra vào ngày 02 tháng 12 năm 2025.
Trích dẫn Đề lập đội tuyển HSG Toán 9 năm 2025 – 2026 cụm THCS phường Tây Hồ – Hà Nội:
+ Một lô trứng đà điểu có 100 quả, trung bình mỗi quả nặng 1,5kg. Người ta phân loại trứng như sau: Loại I là các quả trứng nặng hơn 1,5kg; Loại II là các quả trứng nặng đúng 1,5kg; Loại III là các quả trứng nhẹ hơn 1,5 kg. Biết rằng các quả trứng loại I nặng trung bình 1,73 kg mỗi quả, các quả trứng loại III nặng trung bình 1,33kg mỗi quả. Hỏi trong lô trứng này, số trứng loại II nhiều nhất có thể là bao nhiêu quả?
+ Cho các số nguyên a, b, c thỏa mãn a² + 2bc; b² + 2ca; c² + 2ab đều chia hết cho 5. Chứng minh các số a, b, c đều chia hết cho 5.
+ Bạn Nam có 2025 miếng ghép hình chữ nhật có các kích thước 1×1; 1×2; 1×3; …; 1×2025 (mỗi loại có duy nhất 1 miếng). a) Hỏi bạn Nam có thể sử dụng một vài miếng ghép đã có để ghép thành một hình chữ nhật n×2n, với n là một số nguyên dương lớn hơn 2 nào đó, được không? b) Hỏi bạn Nam có thể sử dụng một vài miếng ghép đã có để ghép thành một hình vuông mxm, với m là một số nguyên dương nào đó, được không?
Download Center
Chọn tài liệu bạn muốn tải về







