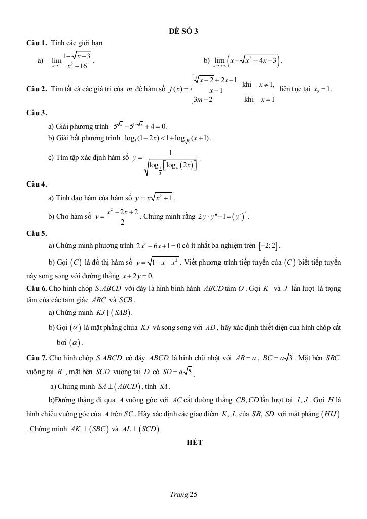
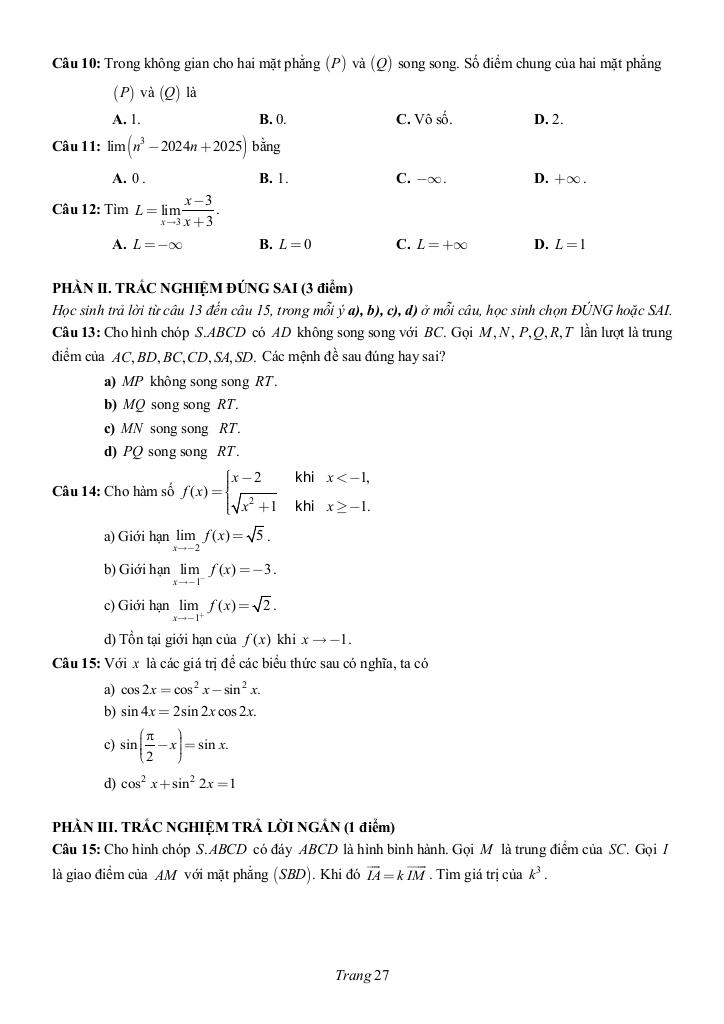
z Mục lục tài liệu
Nội dung chi tiết

1 / 10
Quý thầy cô và học sinh đang tham khảo đề ôn tập ck1 toán 11 năm 2025 – 2026 trường chuyên lương văn chánh – đắk lắk, bộ đề thi được xây dựng bám sát chuẩn toán học cập nhật nhất. Cấu trúc đề bảo đảm độ phủ kiến thức đồng đều, mức độ câu hỏi được cân chỉnh từ nhận biết đến vận dụng cao, phù hợp kiểm tra toàn diện năng lực. Hãy khai thác triệt để tài liệu này để đánh giá chính xác trình độ hiện tại và tối ưu chiến lược luyện thi của bạn.
MonToan.com.vn giới thiệu đến quý thầy, cô giáo và các em học sinh đề ôn tập cuối học kỳ 1 môn Toán 11 năm học 2025 – 2026 trường THPT chuyên Lương Văn Chánh, tỉnh Đắk Lắk.
Bạn đang khám phá nội dung đề ôn tập ck1 toán 11 năm 2025 – 2026 trường chuyên lương văn chánh – đắk lắk trong chuyên mục Đề thi Toán lớp 11 trên nền tảng toán học. Được biên soạn chuyên sâu và bám sát chặt chẽ chương trình sách giáo khoa hiện hành, bộ bài tập toán thpt này cam kết tối ưu hóa toàn diện quá trình ôn luyện, củng cố kiến thức Toán lớp 11 cho học sinh THPT, thông qua phương pháp tiếp cận trực quan và mang lại hiệu quả học tập vượt trội, tạo nền tảng vững chắc cho các kỳ thi quan trọng và chương trình đại học.
Download Center
Chọn tài liệu bạn muốn tải về
















