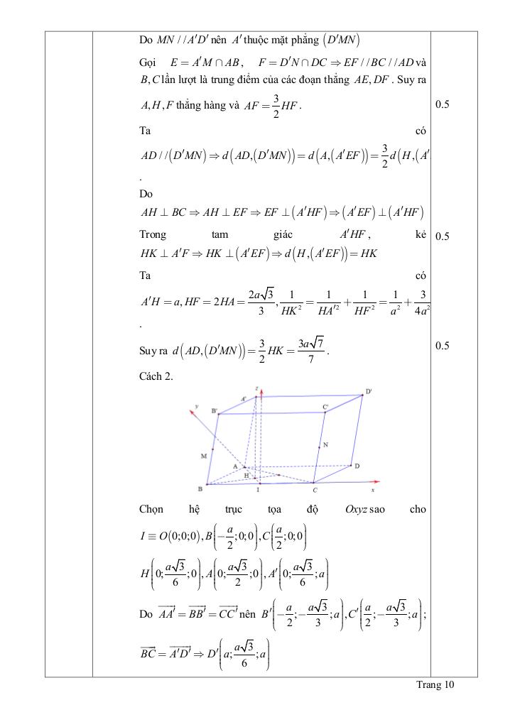
z Mục lục tài liệu
Nội dung chi tiết

MonToan.com.vn giới thiệu đến quý thầy, cô giáo và các em học sinh đề thi chọn học sinh giỏi cấp trường môn Toán 12 năm học 2025 – 2026 trường THPT số 1 Ngô Gia Tự, tỉnh Đắk Lắk. Đề thi có đáp án, lời giải chi tiết và hướng dẫn chấm điểm.
Trích dẫn Đề thi chọn HSG Toán 12 năm 2025 – 2026 trường THPT Ngô Gia Tự 1 – Đắk Lắk:
+ Ở phường Tân An, có hai trạm phát sóng wifi A, B đặt trên 2 trụ cao 20m và hai trụ này cách nhau 500m. Trạm A có tầm phát sóng 400m, trạm B có tầm phát sóng 300m. Trên mặt đất có nút giao hai con đường ở vị trí C cách chân hai trạm phát sóng A và B lần lượt là 600m và 400m. Biết có 1 Flycam đang bay trên không trung trong vùng phủ sóng sóng wifi của trạm A hoặc trạm B và một ô tô đang di chuyển trên con đường thẳng nối từ chân trạm A đến C, rồi cua vào đường thẳng từ C đến chân trạm B. Hỏi khoảng cách lớn nhất có thể của Flycam với ô tô là bao nhiêu mét (giả sử chân trụ trạm A và B ở sát cạnh đường và Flycam được điều khiển bởi sóng wifi này nên khi ra ngoài vùng phủ sóng của trạm A và B thì sẽ bị rơi).
+ Một quân vua được đặt trên một ô giữa bàn cờ vua. Mỗi bước di chuyển, quân vua được chuyển sang một ô khác chung cạnh hoặc chung đỉnh với ô đang đứng (xem hình minh họa). Bạn An di chuyển quân vua ngẫu nhiên 3 bước. Tính xác suất để sau 3 bước đi quân vua trở về ô xuất phát.
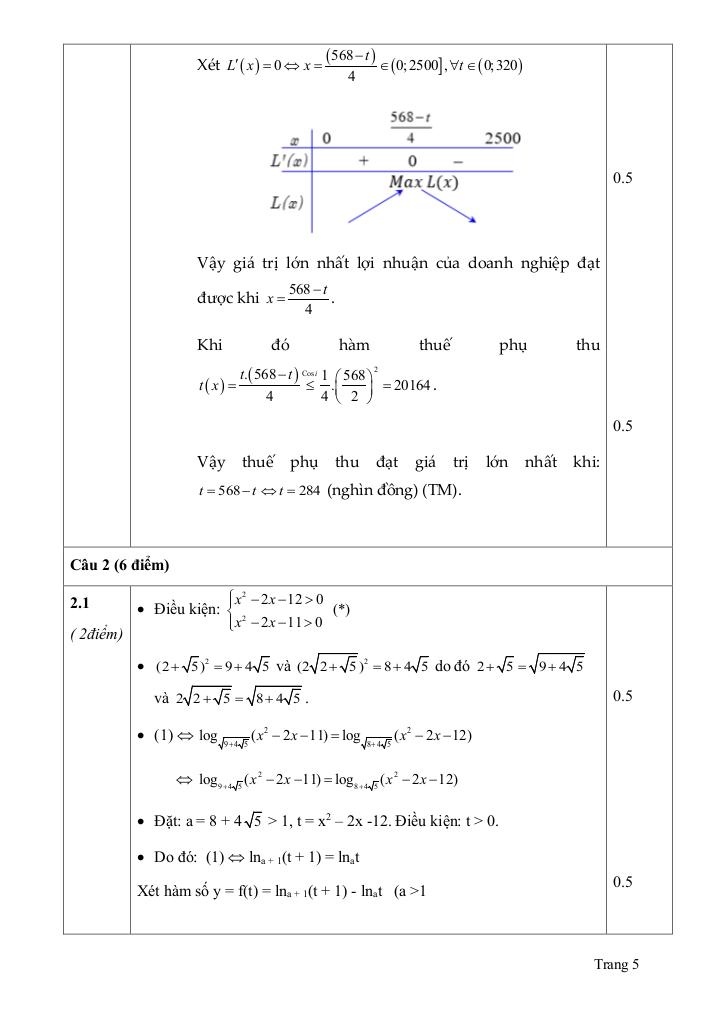
+ Một doanh nghiệp sản xuất độc quyền một loại sản phẩm. Giả sử khi sản xuất và bán hết x sản phẩm (0 < x ≤ 2500) tổng số tiền doanh nghiệp thu được là f(x) = 2006x – x2 và tổng chi phí là g(x) = x2 + 1438 – 1209 (đơn vị: nghìn đồng). Giả sử mức thuế phụ thu trên một đơn vị sản phẩm bán được là t (nghìn đồng) (0 < t < 320). Giá trị của t bằng bao nhiêu nghìn đồng để nhà nước nhận được số tiền thuế phụ thu lớn nhất và doanh nghiệp cũng nhận được lợi nhuận lớn nhất theo mức thuế phụ thu đó?
File WORD (dành cho quý thầy, cô): TẢI XUỐNG
Download Center
Chọn tài liệu bạn muốn tải về
















