z Mục lục tài liệu
Nội dung chi tiết

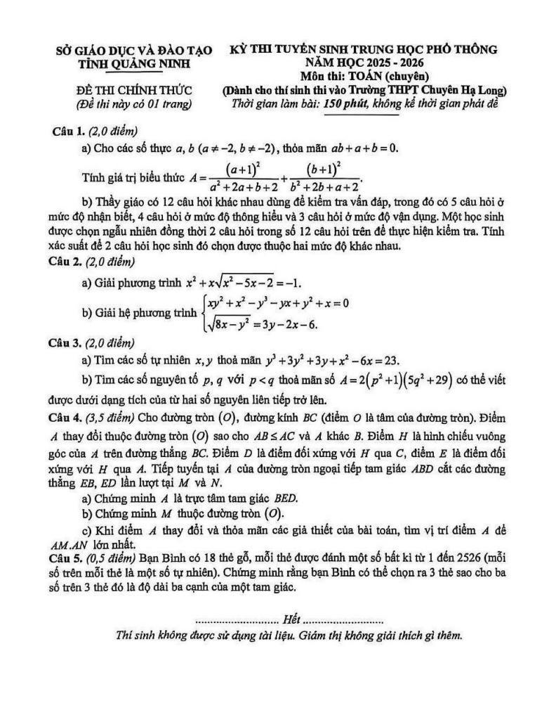
MonToan.com.vn trân trọng giới thiệu đến quý thầy cô giáo và các em học sinh đề thi tuyển sinh lớp 10 chuyên Toán năm học 2025 – 2026 của Sở Giáo dục và Đào tạo tỉnh Quảng Ninh. Đề thi này được sử dụng cho kỳ thi tuyển chọn học sinh vào trường THPT chuyên Hạ Long, tỉnh Quảng Ninh.
Đề tuyển sinh lớp 10 môn Toán (chuyên) năm 2025 – 2026 – Sở GD&ĐT Quảng Ninh
- Bài toán 1: Thầy giáo có 12 câu hỏi trắc nghiệm với độ khó phân loại: 5 câu nhận biết, 4 câu thông hiểu và 3 câu vận dụng. Một học sinh được chọn ngẫu nhiên 2 câu hỏi để làm bài kiểm tra. Tính xác suất để 2 câu hỏi được chọn thuộc hai mức độ khác nhau.
-
Bài toán 2: Cho đường tròn (O) đường kính BC. Điểm A nằm trên đường tròn sao cho AB ≤ AC và A ≠ B. Gọi H là hình chiếu vuông góc của A lên BC. Điểm D đối xứng với H qua C, điểm E đối xứng với H qua A. Tiếp tuyến tại A của đường tròn ngoại tiếp tam giác ABD cắt EB, ED lần lượt tại M và N.
- a) Chứng minh A là trực tâm của tam giác BED.
- b) Chứng minh M thuộc đường tròn (O).
- c) Xác định vị trí của điểm A để tích AM.AN đạt giá trị lớn nhất.
- Bài toán 3: Bạn Bình có 18 thẻ gỗ, mỗi thẻ được ghi một số tự nhiên bất kỳ từ 1 đến 2526. Chứng minh rằng bạn Bình luôn có thể chọn ra 3 thẻ sao cho ba số trên 3 thẻ đó có thể là độ dài ba cạnh của một tam giác.
Đánh giá và nhận xét:
Đề thi tuyển sinh lớp 10 chuyên Toán tỉnh Quảng Ninh năm nay có độ khó tương đối cao, đòi hỏi học sinh phải có kiến thức vững chắc và kỹ năng giải quyết vấn đề tốt. Các bài toán được thiết kế đa dạng, bao gồm kiến thức về xác suất, hình học và bất đẳng thức.
- Ưu điểm:
- Đề thi có tính phân loại cao, giúp đánh giá chính xác năng lực của học sinh.
- Các bài toán có tính ứng dụng thực tế, khuyến khích học sinh tư duy sáng tạo.
- Đề thi bám sát chương trình học, nhưng vẫn có những câu hỏi đòi hỏi học sinh phải vận dụng kiến thức một cách linh hoạt.
Đây là một đề thi tham khảo hữu ích cho các em học sinh đang chuẩn bị cho kỳ thi tuyển sinh vào lớp 10 chuyên Toán.
Download Center
Chọn tài liệu bạn muốn tải về







