z Mục lục tài liệu
Nội dung chi tiết

1 / 10
Quý thầy cô và học sinh đang tham khảo hệ thống dạng toán và đề ôn tập chuyên đề xác suất có điều kiện toán 12, bộ đề thi được xây dựng bám sát chuẩn học toán cập nhật nhất. Cấu trúc đề bảo đảm độ phủ kiến thức đồng đều, mức độ câu hỏi được cân chỉnh từ nhận biết đến vận dụng cao, phù hợp kiểm tra toàn diện năng lực. Hãy khai thác triệt để tài liệu này để đánh giá chính xác trình độ hiện tại và tối ưu chiến lược luyện thi của bạn.
Tài liệu gồm 64 trang, được biên soạn bởi thầy giáo Lê Bá Bảo, bao gồm hệ thống dạng toán và đề ôn tập chuyên đề xác suất có điều kiện môn Toán 12.

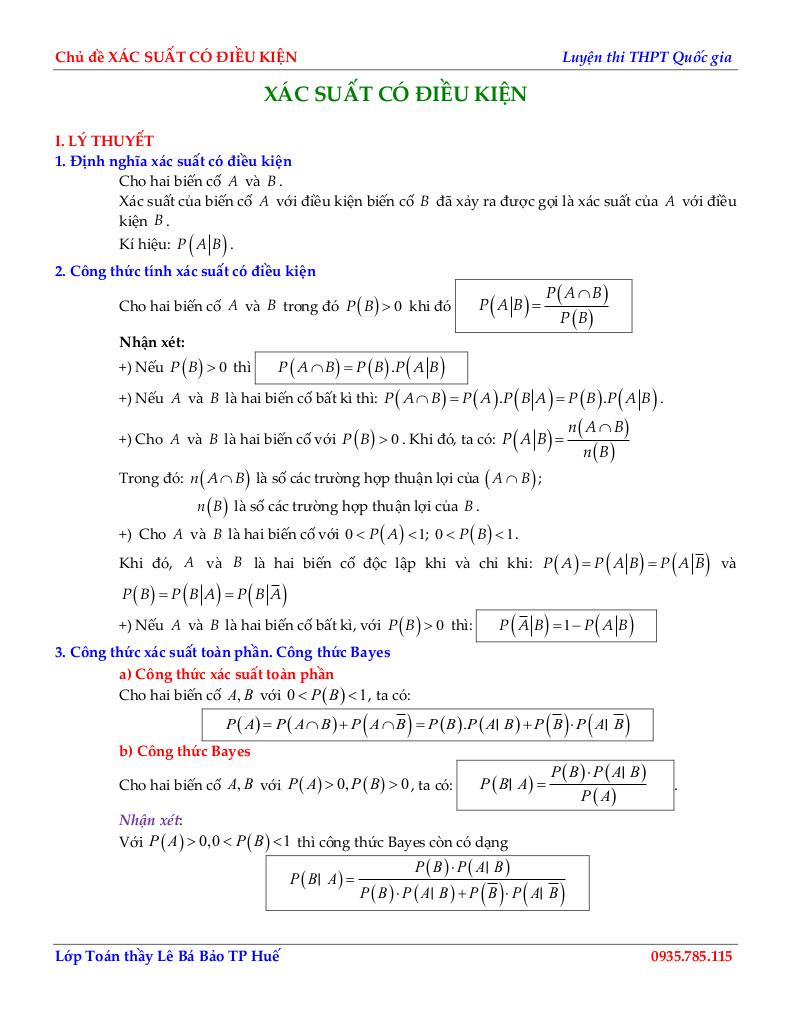
I. LÝ THUYẾT.
1. Định nghĩa xác suất có điều kiện.
2. Công thức tính xác suất có điều kiện.
3. Công thức xác suất toàn phần. Công thức Bayes.
II. BÀI TẬP MINH HỌA.
III. LỜI GIẢI CHI TIẾT.
Bạn đang khám phá nội dung hệ thống dạng toán và đề ôn tập chuyên đề xác suất có điều kiện toán 12 trong chuyên mục toán 12 trên nền tảng học toán. Được biên soạn chuyên sâu và bám sát chặt chẽ chương trình sách giáo khoa hiện hành, bộ bài tập toán thpt này cam kết tối ưu hóa toàn diện quá trình ôn luyện, củng cố kiến thức Toán lớp 12 cho học sinh THPT, thông qua phương pháp tiếp cận trực quan và mang lại hiệu quả học tập vượt trội, tạo nền tảng vững chắc cho Kỳ thi Tốt nghiệp THPT Quốc gia và hành trang vào đại học.
Download Center
Chọn tài liệu bạn muốn tải về
















