z Mục lục tài liệu
Nội dung chi tiết

MonToan.com.vn giới thiệu đến quý thầy, cô giáo và các em học sinh đề cương hướng dẫn nội dung ôn tập giữa học kì 1 môn Toán 12 năm học 2025 – 2026 trường THPT Trần Phú – Hoàn Kiếm, thành phố Hà Nội.
NỘI DUNG:
1. Ứng dụng đạo hàm để khảo sát và vẽ đồ thị của hàm số.
2. Tọa độ của vectơ trong không gian.
BÀI TẬP:
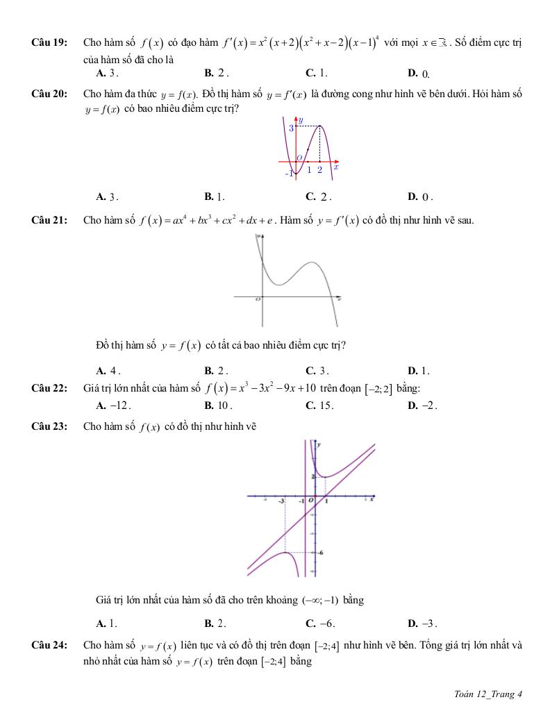
1. Ứng dụng đạo hàm để khảo sát và vẽ đồ thị của hàm số.
Phần I. Câu trắc nghiệm nhiều phương án lựa chọn.
Phần II. Câu trắc nghiệm đúng sai.
Phần III. Câu trắc nghiệm trả lời ngắn.
2. Tọa độ của vectơ trong không gian.
Phần I. Câu trắc nghiệm nhiều phương án lựa chọn.
Phần II. Câu trắc nghiệm đúng sai.
Phần III. Câu trắc nghiệm trả lời ngắn.
Download Center
Chọn tài liệu bạn muốn tải về
















