z Mục lục tài liệu
Nội dung chi tiết

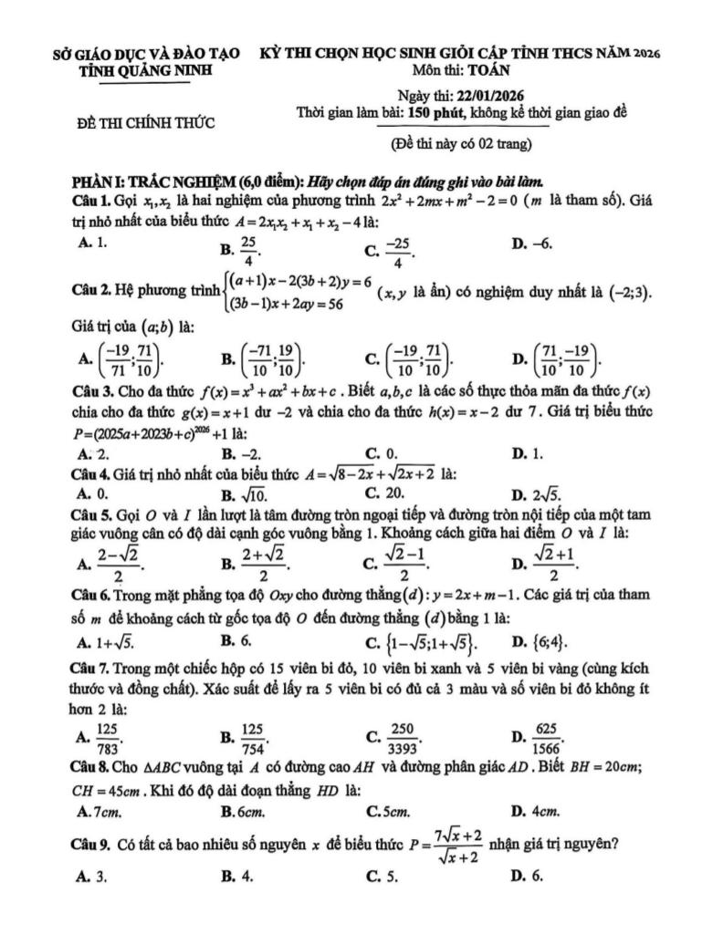
MonToan.com.vn giới thiệu đến quý thầy, cô giáo và các em học sinh đề thi chọn học sinh giỏi cấp tỉnh môn Toán THCS năm học 2025 – 2026 sở Giáo dục và Đào tạo tỉnh Quảng Ninh. Đề thi gồm 12 câu trắc nghiệm (6,0 điểm) + 07 câu tự luận (14,0 điểm), thời gian làm bài 150 phút, có đáp án và lời giải chi tiết. Kỳ thi được diễn ra vào ngày 22 tháng 01 năm 2026.
Trích dẫn Đề chọn học sinh giỏi cấp tỉnh Toán THCS năm 2026 sở GD&ĐT Quảng Ninh:
+ Cho tam giác ABC đều nội tiếp đường tròn (O;R). Lấy M là một điểm bất kỳ trên cạnh BC. Từ M kẻ ME vuông góc với AB (E thuộc AB) và MF vuông góc với AC (F thuộc AC). Gọi I, D lần lượt là trung điểm của AM, BC và K là giao điểm của ID và EF. a) Chứng minh OK = 1/3.MK. b) Giả sử MD = 1/4.BD. Tính OK theo R. c) Gọi N là trung điểm của MC. Đường thẳng đi qua N vuông góc với BC cắt MF và AC lần lượt tại T và H. Gọi L là giao điểm của CT và MH. Chứng minh ITL = MTB.
+ Bạn Hùng chia một tờ giấy làm 4 miếng hoặc 8 miếng rời nhau, rồi lấy một trong các miếng nhỏ vừa có, chia tiếp ra làm 4 miếng hoặc 8 miếng nhỏ hơn. Cứ tiếp tục thực hiện chia như vậy nhiều lần cho đến khi được 2026 miếng. Hỏi bạn Hùng cần ít nhất bao nhiêu lần chia?
+ Trong bộ đồ dùng học tập bạn An có 5 hộp màu nước khác nhau. Hỏi bạn An có tất cả bao nhiêu cách chọn hộp màu để mang ra vẽ tranh?
Download Center
Chọn tài liệu bạn muốn tải về
















