z Mục lục tài liệu
Nội dung chi tiết

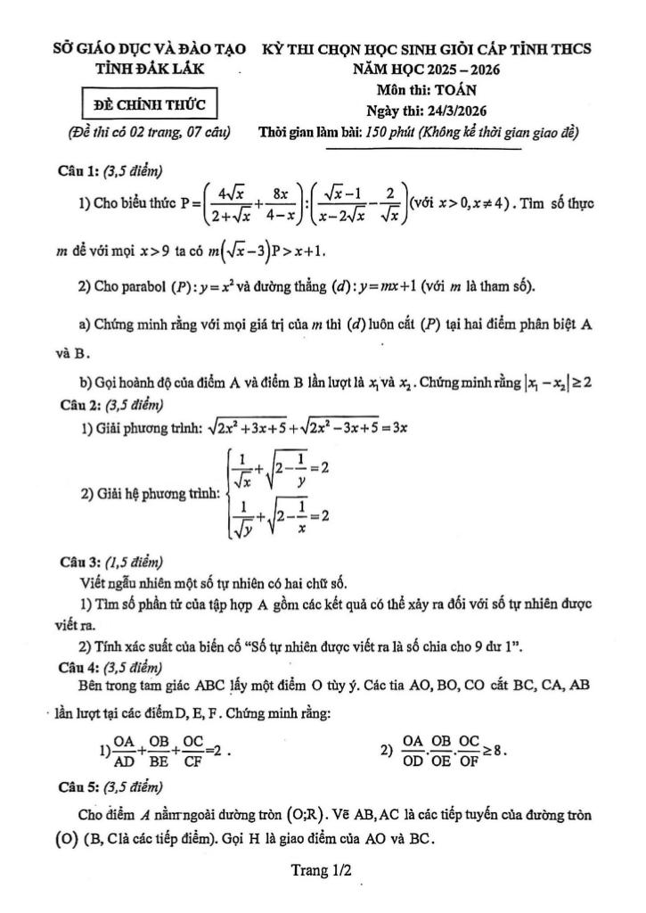
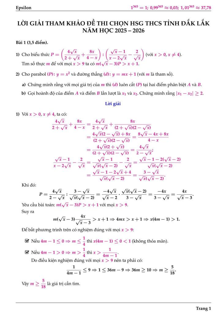
MonToan.com.vn giới thiệu đến quý thầy, cô giáo và các em học sinh đề thi chọn học sinh giỏi cấp tỉnh môn Toán THCS năm học 2025 – 2026 sở Giáo dục và Đào tạo tỉnh Đắk Lắk. Kỳ thi được diễn ra vào ngày 24 tháng 03 năm 2026. Đề thi có đáp án và lời giải chi tiết.
Trích dẫn Đề chọn học sinh giỏi tỉnh Toán THCS năm 2025 – 2026 sở GD&ĐT Đắk Lắk:
+ Viết ngẫu nhiên một số tự nhiên có hai chữ số. 1) Tìm số phần tử của tập hợp A gồm các kết quả có thể xảy ra đối với số tự nhiên được viết ra. 2) Tính xác suất của biến cố “Số tự nhiên được viết ra là số chia cho 9 dư 1”.
+ Cho số nguyên tố p thỏa mãn 1/p = 1/a + 1/b với a, b là hai số tự nhiên khác 0. Tìm tất cả các số nguyên tố p để a hoặc b là số chính phương.
+ Cho x, y là các số thực thỏa mãn x² + y² = x + 2. Tính giá trị lớn nhất và giá trị nhỏ nhất của biểu thức P = x + 2y.
Download Center
Chọn tài liệu bạn muốn tải về
















