z Mục lục tài liệu
Nội dung chi tiết

MonToan.com.vn giới thiệu đến quý thầy, cô giáo và các em học sinh đề thi chọn học sinh giỏi cấp thành phố môn Toán 9 năm học 2025 – 2026 sở Giáo dục và Đào tạo thành phố Đà Nẵng. Kỳ thi được diễn ra vào ngày 24 tháng 03 năm 2026. Đề thi có đáp án và lời giải chi tiết.
Trích dẫn Đề chọn học sinh giỏi Toán 9 năm 2025 – 2026 sở GD&ĐT Đà Nẵng:
+ Một hộp kín đựng 5 quả bóng có cùng khối lượng và kích thước, được đánh số 1; 2; 3; 4; 5. Lấy ngẫu nhiên lần lượt hai quả bóng từ hộp, quả bóng được lấy ra lần đầu không trả lại vào hộp. Quan sát hai số ghi trên hai quả bóng được lấy ra. a) Mô tả không gian mẫu của phép thử và các kết quả thuận lợi cho biến cố E: “Số ghi trên quả bóng được lấy ra lần đầu nhỏ hơn số ghi trên quả bóng được lấy ra lần sau”. b) Tính xác suất của biến cố F: “Tích hai số ghi trên hai quả bóng được lấy ra là nghiệm của bất phương trình 16 – √5x < 0”.
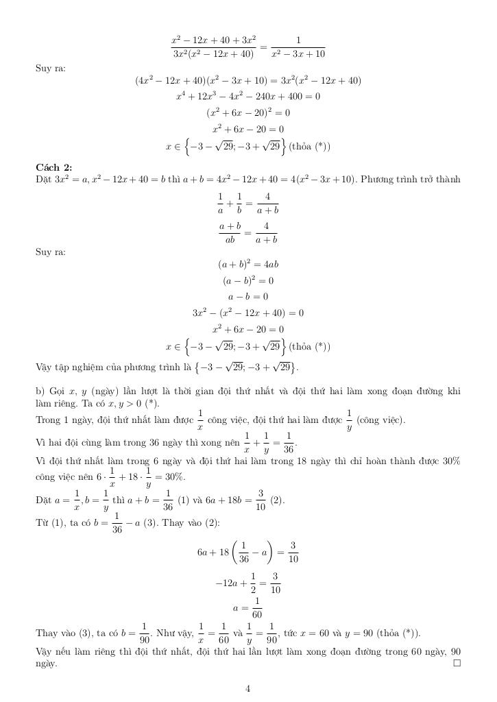
+ Hai đội công nhân cùng làm một đoạn đường trong 36 ngày thì xong. Nếu đội thứ nhất làm trong 6 ngày và đội thứ hai làm trong 18 ngày thì chỉ hoàn thành được 30% công việc. Hỏi nếu làm riêng thì mỗi đội làm xong đoạn đường đó trong bao lâu? (Giả sử năng suất mỗi đội là không đổi).
+ Trong mặt phẳng tọa độ Oxy, cho parabol (P): y = 1/2x² và đường thẳng (d): y = x + 4. Gọi A, B là các giao điểm của (d) và (P), trong đó A có hoành độ âm; C là giao điểm của (d) và trục hoành. Một điểm M thay đổi trên đường tròn tâm O, bán kính OA. Tìm giá trị lớn nhất của biểu thức T = √2MB – MC.
Download Center
Chọn tài liệu bạn muốn tải về















