z Mục lục tài liệu
Nội dung chi tiết

MonToan.com.vn giới thiệu đến quý thầy, cô giáo và các em học sinh đề kiểm tra giữa học kì 1 môn Toán 11 năm học 2025 – 2026 trường THPT Nhị Chiểu, thành phố Hải Phòng. Đề thi có đáp án và hướng dẫn chấm điểm.
Ma trận Đề giữa học kì 1 Toán 11 năm 2025 – 2026 trường THPT Nhị Chiểu – Hải Phòng:
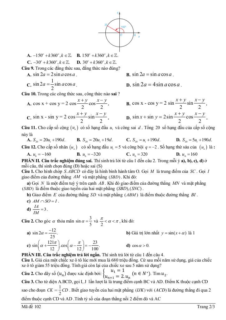
1 Hàm số lượng giác và phương trình lượng giác.
+ Giá trị lượng giác của góc lượng giác. Các phép biến đổi lượng giác.
+ Công thức lượng giác.
+ Hàm số lượng giác.
+ Phương trình lượng giác cơ bản.
2 Dãy số. Cấp số cộng. Cấp số nhân.
+ Dãy số.
+ Cấp số cộng.
+ Cấp số nhân.
4 Quan hệ song song: Đường thẳng và mặt phẳng trong không gian.
+ Các khái niệm, tính chất.
+ Giao tuyến.
+ Giao điểm.
File WORD (dành cho quý thầy, cô): TẢI XUỐNG
Download Center
Chọn tài liệu bạn muốn tải về
















