z Mục lục tài liệu
Nội dung chi tiết

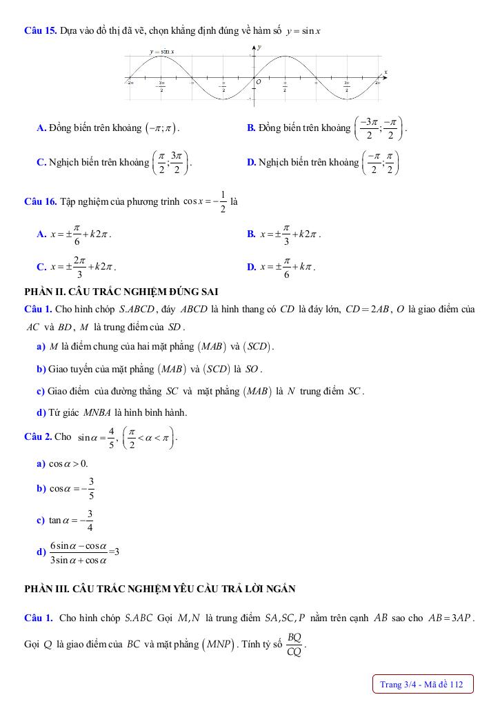
MonToan.com.vn giới thiệu đến quý thầy, cô giáo và các em học sinh đề kiểm tra giữa học kỳ 1 môn Toán 11 năm học 2025 – 2026 trường THPT Huỳnh Thúc Kháng, tỉnh Nghệ An. Đề thi gồm 16 câu trắc nghiệm nhiều phương án lựa chọn + 02 câu trắc nghiệm đúng sai + 02 câu trắc nghiệm trả lời ngắn + 04 câu tự luận, thời gian làm bài 90 phút, có đáp án và hướng dẫn chấm điểm mã đề 111 – 112.
Trích dẫn Đề giữa học kỳ 1 Toán 11 năm 2025 – 2026 trường THPT Huỳnh Thúc Kháng – Nghệ An:
+ Một cái đồng hồ treo tường có đường kính bằng 60cm, ta xem vành ngoài chiếc đồng hồ là một đường tròn với các điểm A, B, C lần lượt tương ứng với vị trí các số 2, 9, 4. Tính độ dài cung nhỏ AB (kết quả tính theo đơn vị centimét và làm tròn đến hàng phần chục).
+ Hằng ngày, mực nước của con kênh lên xuống theo thủy triều. Độ sâu h(m) của mực nước trong kênh tính theo thời gian t(h) được cho bởi công thức h = 3cos(πt/12 + π/3) + 12 với 0 ≤ t ≤ 24. Xác định thời điểm trong ngày để chiều cao của mực nước trong kênh là 9 m.
+ Cho hình chóp S.ABCD có đáy ABCD là hình thoi cạnh a, tam giác SAB đều. Gọi K, M là hai điểm lần lượt thuộc cạnh SA, BC sao cho AK = BM. Chứng minh rằng KM // (SCD).
File WORD (dành cho quý thầy, cô): TẢI XUỐNG
Download Center
Chọn tài liệu bạn muốn tải về
















