z Mục lục tài liệu
Nội dung chi tiết

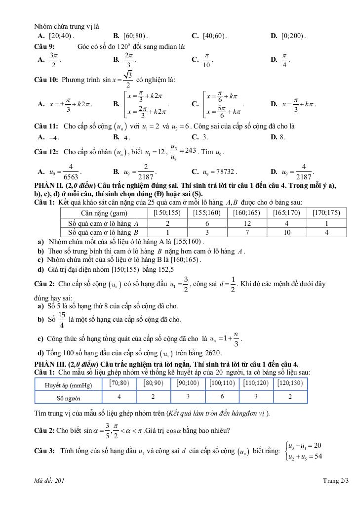
MonToan.com.vn giới thiệu đến quý thầy, cô giáo và các em học sinh đề kiểm tra giữa học kỳ 1 môn Toán 11 năm học 2025 – 2026 trường THPT Nam Lương Sơn, tỉnh Phú Thọ. Đề thi có đáp án và hướng dẫn chấm điểm mã đề 101 102 103 104 201 202 203 204.
Trích dẫn Đề giữa học kỳ 1 Toán 11 năm 2025 – 2026 trường THPT Nam Lương Sơn – Phú Thọ:
+ Chị Nụ gửi tiết kiệm 200 triệu đồng với lãi suất 0,5% một tháng. Biết rằng nếu không rút tiền ra khỏi ngân hàng thì cứ sau mỗi tháng, số tiền lãi sẽ được nhập vào vốn ban đầu. Hỏi số tiền chị Nụ nhận được sau hai tháng là bao nhiêu triệu đồng? (làm tròn kết quả đến hàng đơn vị).
+ Bảng 9 biểu diễn mẫu số liệu ghép nhóm về nhiệt độ không khí trung bình các tháng năm 2011 tại Hà Nội (đơn vị: độ C) (Nguồn: Niên giám Thống kê 2021, NXB Thống kê, 2022). Số trung bình cộng của mẫu số liệu đó bằng bao nhiêu (làm tròn kết quả đến hàng phần mười)?
+ Một vật M được gắn vào đầu lò xo và dao động quanh vị trí cân bằng I, biết rằng O là hình chiếu vuông góc của I trên trục Ox, toạ độ điểm M trên Ox tại thời điểm t (giây) là đại lượng s (đơn vị: cm) được tính bởi công thức s = 8,6cos(8t + π/2). Tại mấy thời điểm trong khoảng 2 giây đầu tiên thì s = 4,3 cm?
File WORD (dành cho quý thầy, cô): TẢI XUỐNG
Download Center
Chọn tài liệu bạn muốn tải về
















