z Mục lục tài liệu
Nội dung chi tiết

MonToan.com.vn giới thiệu đến quý thầy, cô giáo và các em học sinh đề kiểm tra giữa học kỳ 1 môn Toán 11 năm học 2025 – 2026 trường THPT Lý Tự Trọng, thành phố Đà Nẵng. Đề thi gồm 11 câu trắc nghiệm nhiều phương án lựa chọn (3,0 điểm) + 02 câu trắc nghiệm đúng sai (2,0 điểm) + 04 câu trắc nghiệm trả lời ngắn (2,0 điểm) + 03 câu tự luận (3,0 điểm), thời gian làm bài 90 phút, có đáp án và hướng dẫn chấm điểm.
Trích dẫn Đề giữa học kỳ 1 Toán 11 năm 2025 – 2026 trường THPT Lý Tự Trọng – Đà Nẵng:
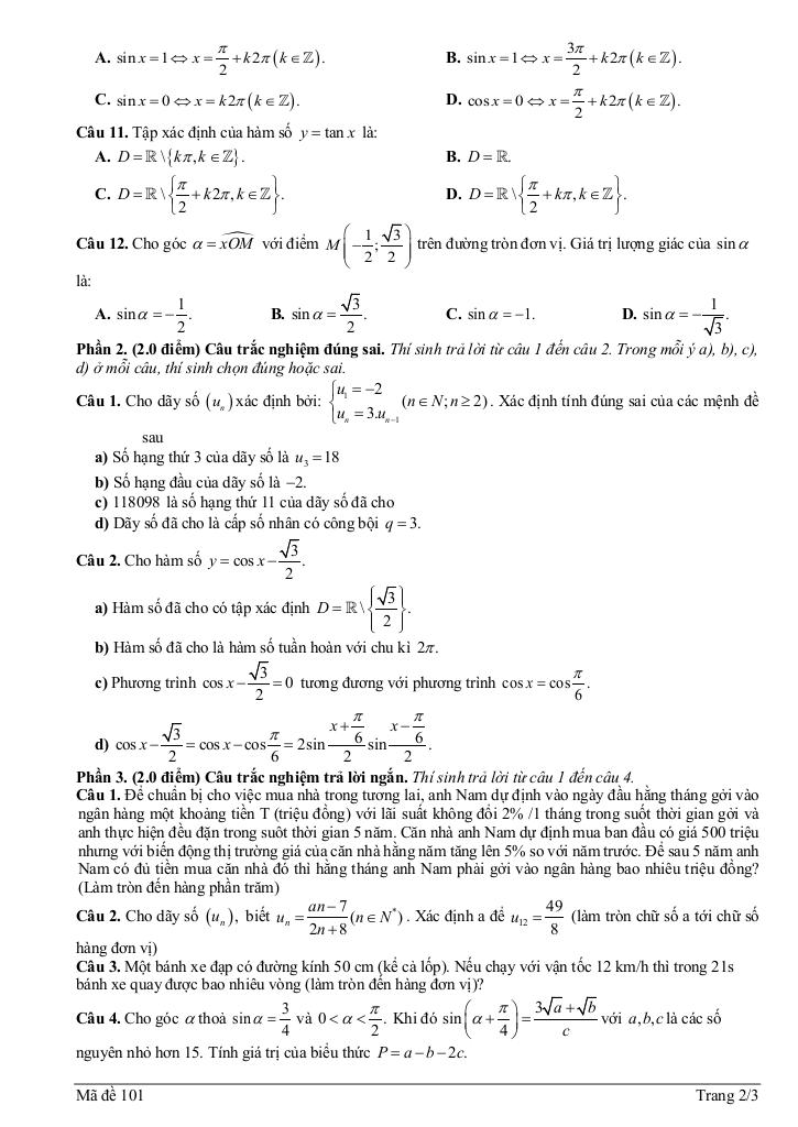
+ Để chuẩn bị cho việc mua nhà trong tương lai, anh Nam dự định vào ngày đầu hằng tháng gởi vào ngân hàng một khoảng tiền T (triệu đồng) với lãi suất không đổi 2% /1 tháng trong suốt thời gian gởi và anh thực hiện đều đặn trong suôt thời gian 5 năm. Căn nhà anh Nam dự định mua ban đầu có giá 500 triệu nhưng với biến động thị trường giá của căn nhà hằng năm tăng lên 5% so với năm trước. Để sau 5 năm anh Nam có đủ tiền mua căn nhà đó thì hằng tháng anh Nam phải gởi vào ngân hàng bao nhiêu triệu đồng? (Làm tròn đến hàng phần trăm).
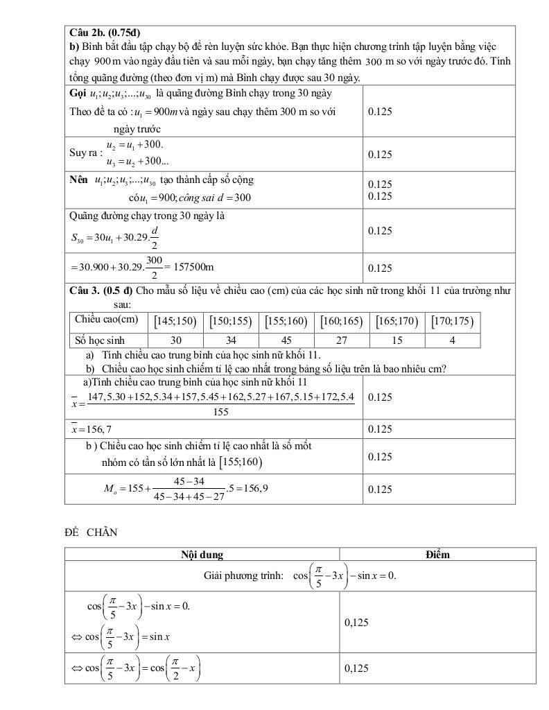
+ Bình bắt đầu tập chạy bộ để rèn luyện sức khỏe. Bạn thực hiện chương trình tập luyện bằng việc chạy 900m vào ngày đầu tiên và sau mỗi ngày, bạn chạy tăng thêm 300 m so với ngày trước đó. Tính tổng quãng đường (theo đơn vị m) mà Bình chạy được sau 30 ngày.
+ Cho mẫu số liệu về chiều cao (cm) của các học sinh nữ trong khối 11 của trường như sau: Chiều cao(cm) [145;150) [150;155) [155;160) [160;165) [165;170) [170;175). Số học sinh 30 34 45 27 15 4. a) Tính chiều cao trung bình của học sinh nữ khối 11. b) Chiều cao học sinh chiếm tỉ lệ cao nhất trong bảng số liệu trên là bao nhiêu cm?
File WORD (dành cho quý thầy, cô): TẢI XUỐNG
Download Center
Chọn tài liệu bạn muốn tải về
















