z Mục lục tài liệu
Nội dung chi tiết

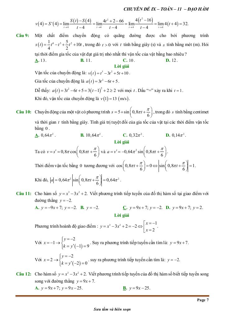
Tài liệu gồm 102 trang, được biên soạn bởi thầy giáo Huỳnh Văn Ánh, tuyển tập bộ đề kiểm tra theo bài học chủ đề đạo hàm môn Toán 11, có đáp án và lời giải chi tiết.
Cấu trúc đề kiểm tra:
+ Phần 1. Câu trắc nghiệm nhiều phương án lựa chọn (12 câu).
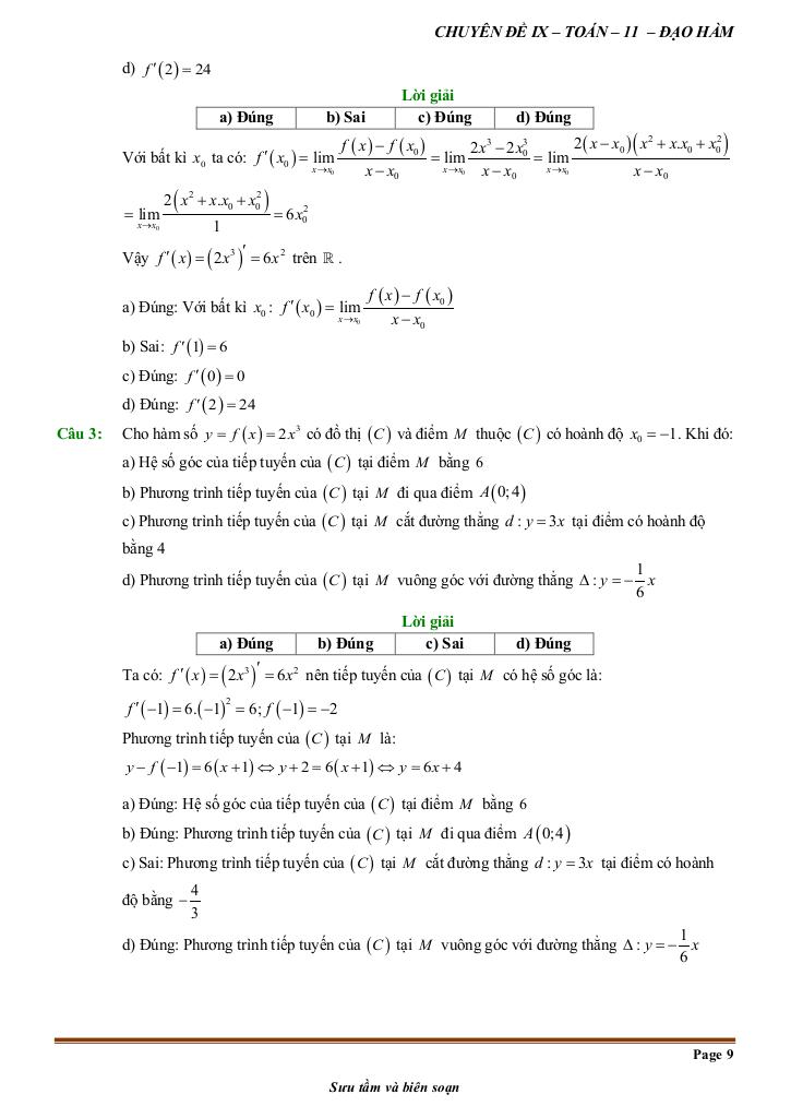
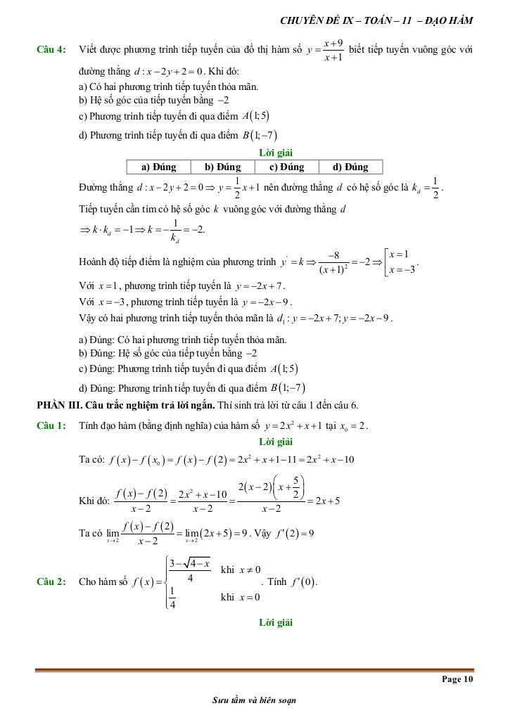
+ Phần 2. Câu trắc nghiệm đúng sai (04 câu).
+ Phần 3. Câu trắc nghiệm trả lời ngắn (06 câu).
Danh sách đề kiểm tra:
+ Bài 31. Định nghĩa và ý nghĩa của đạo hàm – Đề số 1.
+ Bài 31. Định nghĩa và ý nghĩa của đạo hàm – Đề số 2.
+ Bài 32. Các quy tắc tính đạo hàm – Đề số 1.
+ Bài 32. Các quy tắc tính đạo hàm – Đề số 2.
+ Bài 33. Đạo hàm cấp hai – Đề số 1.
+ Bài 33. Đạo hàm cấp hai – Đề số 2.
+ Bài tập cuối chương IX – Đề số 1.
+ Bài tập cuối chương IX – Đề số 2.
Download Center
Chọn tài liệu bạn muốn tải về
















