z Mục lục tài liệu
Nội dung chi tiết

MonToan.com.vn giới thiệu đến quý thầy, cô giáo và các em học sinh đề thi chọn học sinh giỏi môn Toán 11 năm học 2025 – 2026 cụm trường THPT, tỉnh Bắc Ninh. Đề thi gồm 20 câu trắc nghiệm nhiều phương án lựa chọn + 08 câu trắc nghiệm đúng sai + 06 câu trắc nghiệm trả lời ngắn, thời gian làm bài 120 phút, có đáp án mã đề 1104 1105 1106.
Trích dẫn Đề chọn học sinh giỏi Toán 11 năm 2025 – 2026 cụm trường THPT – Bắc Ninh:
+ Một chiếc guồng nước có dạng hình tròn bán kính 2,5m; trục của nó đặt cách mặt nước 2m (hình vẽ). Khi guồng quay đều, khoảng cách h (mét) từ một chiếc gầu gắn tại điểm A của guồng đến mặt nước được tính theo công thức h = |y| trong đó y = 2 + 2,5sin[2π(x – 1/4)] với x là thời gian quay của guồng (x ≥ 0), tính bằng phút (quy ước y /> 0 khi gầu ở bên trên mặt nước và y < 0 khi gầu ở dưới nước). Chiếc gầu cách mặt nước 2m lần đầu tiên khi nào?
+ Trong trận thi đấu bóng bàn đơn nam giữa vận động viên Nguyễn Đức Tuân (người từng đoạt huy chương vàng đơn nam môn bóng bàn tại Seagames 31) với một vận động viên nước ngoài, trận đấu gồm tối đa 5 set, người nào thắng trước 3 set sẽ giành chiến thắng chung cuộc. Xác suất để vận động viên Tuân thắng mỗi set là 0,6. Tính xác suất để vận động viên Tuân giành chiến thắng trong trận đấu? (Làm tròn kết quả đến hàng phần trăm).
+ Mùa hè năm 2025, để chuẩn bị cho “học kì quân đội” dành cho các bạn nhỏ, một đơn vị bộ đội chuẩn bị thực phẩm dự kiến đủ dùng trong 45 ngày (năng suất của mỗi ngày là như nhau). Tuy nhiên bắt đầu từ ngày thứ 11, do số lượng thành viên tham gia tăng lên, lượng tiêu thụ thực phẩm đã tăng 10% mỗi ngày (ngày sau tăng 10% so với ngày trước đó). Hỏi thực tế lượng thức ăn đó đủ dùng trong bao nhiêu ngày?
File WORD (dành cho quý thầy, cô): TẢI XUỐNG
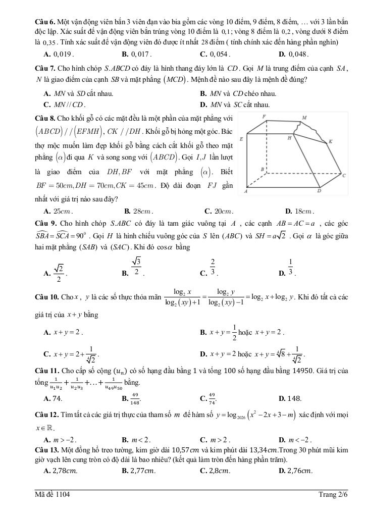
Download Center
Chọn tài liệu bạn muốn tải về
















