z Mục lục tài liệu
Nội dung chi tiết

MonToan.com.vn giới thiệu đến quý thầy, cô giáo và các em học sinh đề thi chọn học sinh giỏi cấp xã môn Toán 7 năm học 2025 – 2026 xã Quảng Bình, tỉnh Thanh Hóa. Đề thi có đáp án, lời giải chi tiết và hướng dẫn chấm điểm.
Trích dẫn Đề thi học sinh giỏi Toán 7 năm 2025 – 2026 xã Quảng Bình – Thanh Hóa:
+ Một chiếc hộp có 52 chiếc thẻ cùng loại, mỗi thẻ được ghi một trong các số {1; 2; 3; …; 52} hai thẻ khác nhau thì ghi hai số khác nhau. Rút ngẫu nhiên một thẻ trong hộp. Tính xác suất thực nghiệm của các biến cố: a) A: “Số xuất hiện trên thẻ được rút ra là số bé hơn 12”. b) B: “Số xuất hiện trên thẻ được rút là số chia cho 3 và 5 dư 1”.
+ Tính thể tích vật thể có cấu trúc và kích thước được mô tả như hình vẽ.
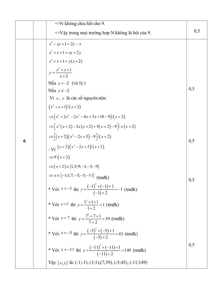
+ Người ta viết lên bảng dãy số 1/1; 1/2; 1/3; …; 1/2026. Mỗi lần xóa đi hai số bất kì x, y trên bảng và viết thêm số x + y + xy. Sau một số lần thực hiện như vậy thì trên bảng còn lại một số. Tìm số còn lại đó.
File WORD (dành cho quý thầy, cô): TẢI XUỐNG
Download Center
Chọn tài liệu bạn muốn tải về














