z Mục lục tài liệu
Nội dung chi tiết

1 / 10
Quý thầy cô và học sinh đang tham khảo đề giữa học kì 2 toán 12 năm 2024 – 2025 trường thpt minh hà – hà nội, bộ đề thi được xây dựng bám sát chuẩn toán học cập nhật nhất. Cấu trúc đề bảo đảm độ phủ kiến thức đồng đều, mức độ câu hỏi được cân chỉnh từ nhận biết đến vận dụng cao, phù hợp kiểm tra toàn diện năng lực. Hãy khai thác triệt để tài liệu này để đánh giá chính xác trình độ hiện tại và tối ưu chiến lược luyện thi của bạn.
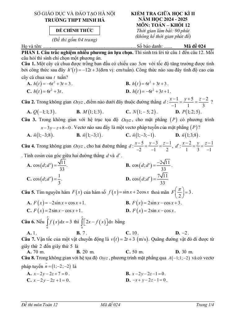
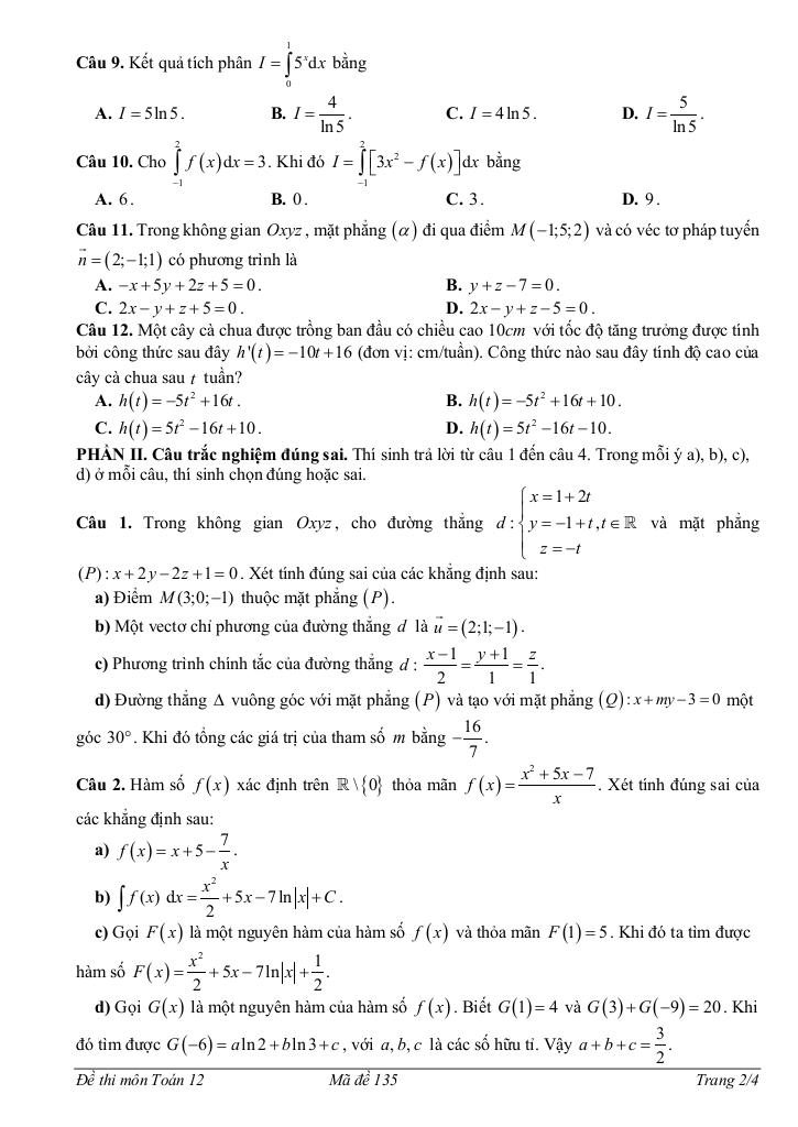
MonToan.com.vn giới thiệu đến quý thầy, cô giáo và các em học sinh đề chính thức kiểm tra giữa học kì 2 môn Toán 12 năm học 2024 – 2025 trường THPT Minh Hà, thành phố Hà Nội. Đề thi có đáp án và hướng dẫn chấm điểm.
File WORD (dành cho quý thầy, cô): TẢI XUỐNG
Bạn đang khám phá nội dung đề giữa học kì 2 toán 12 năm 2024 – 2025 trường thpt minh hà – hà nội trong chuyên mục bài toán lớp 12 trên nền tảng toán học. Được biên soạn chuyên sâu và bám sát chặt chẽ chương trình sách giáo khoa hiện hành, bộ bài tập toán trung học phổ thông này cam kết tối ưu hóa toàn diện quá trình ôn luyện, củng cố kiến thức Toán lớp 12 cho học sinh THPT, thông qua phương pháp tiếp cận trực quan và mang lại hiệu quả học tập vượt trội, tạo nền tảng vững chắc cho Kỳ thi Tốt nghiệp THPT Quốc gia và hành trang vào đại học.
Download Center
Chọn tài liệu bạn muốn tải về
















