z Mục lục tài liệu
Nội dung chi tiết

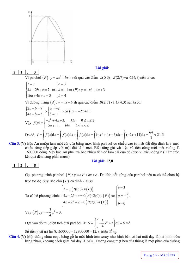
MonToan.com.vn giới thiệu đến quý thầy, cô giáo và các em học sinh đề kiểm tra giữa học kỳ 2 môn Toán 12 năm học 2024 – 2025 trường THPT Nguyễn Huệ, thành phố Huế. Đề thi có đáp án và hướng dẫn chấm điểm.
Trích dẫn Đề giữa kỳ 2 Toán 12 năm 2024 – 2025 trường THPT Nguyễn Huệ – Huế:
+ Bác Bình muốn làm một cái cửa bằng inox hình parabol có chiều cao từ mặt đất đến đỉnh là 3 mét, chiều rộng tiếp giáp với mặt đất là 3 mét. Biết rằng giá vật liệu và tiền công mỗi mét vuông là 1700000 đồng. Vậy bác Bình phải trả bao nhiêu tiền để làm cái cửa đó (đơn vị triệu đồng)? (Làm tròn kết quả đến hàng phần mười).
+ Một thùng chứa rượu bằng gỗ là một hình tròn xoay như hình bên có hai mặt đáy là hai hình tròn bằng nhau, khoảng cách giữa hai đáy là 6dm. Đường cong mặt bên trong của thùng là một phần của đường elip có độ dài trục lớn bằng 10dm, trục bé bằng 8dm. Hỏi thùng gỗ này đựng được tối đa bao nhiêu lít rượu? (Làm tròn kết quả đến hàng đơn vị).
+ Một học sinh đang điều khiển xe đạp điện chuyển động thẳng đều với vận tốc a (m/s). Khi phát hiện có chướng ngại vật phía trước học sinh đó thực hiện phanh xe. Sau khi phanh, xe chuyển động chậm dần đều với vận tốc v(t) = a – 2t (m/s), trong đó t (tính bằng giây) là thời gian kể từ lúc bắt đầu đạp phanh. Tìm giá trị lớn nhất của a để quãng đường xe đạp điện đi được sau khi phanh không vượt quá 9m.
File WORD (dành cho quý thầy, cô): TẢI XUỐNG
Download Center
Chọn tài liệu bạn muốn tải về
















