z Mục lục tài liệu
Nội dung chi tiết

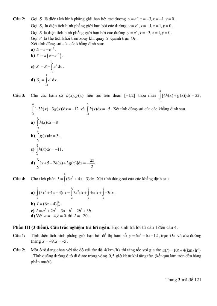
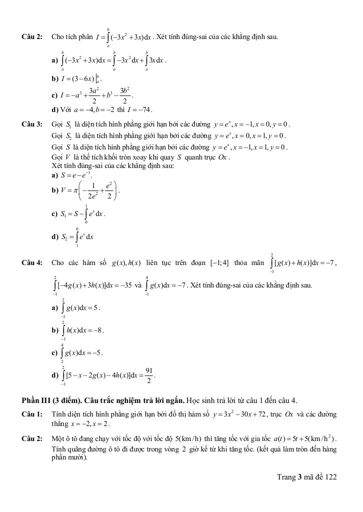
1 / 10
Quý thầy cô và học sinh đang tham khảo đề giữa kỳ 2 toán 12 năm 2024 – 2025 trường thpt thanh bình 1 – đồng tháp, bộ đề thi được xây dựng bám sát chuẩn đề thi toán cập nhật nhất. Cấu trúc đề bảo đảm độ phủ kiến thức đồng đều, mức độ câu hỏi được cân chỉnh từ nhận biết đến vận dụng cao, phù hợp kiểm tra toàn diện năng lực. Hãy khai thác triệt để tài liệu này để đánh giá chính xác trình độ hiện tại và tối ưu chiến lược luyện thi của bạn.
MonToan.com.vn giới thiệu đến quý thầy, cô giáo và các em học sinh đề chính thức kỳ thi giữa học kỳ 2 môn Toán 12 hệ THPT năm học 2024 – 2025 trường THPT Thanh Bình 1, tỉnh Đồng Tháp. Đề thi có đáp án và hướng dẫn chấm điểm.
File WORD (dành cho quý thầy, cô): TẢI XUỐNG
Bạn đang khám phá nội dung đề giữa kỳ 2 toán 12 năm 2024 – 2025 trường thpt thanh bình 1 – đồng tháp trong chuyên mục giải bài tập toán 12 trên nền tảng đề thi toán. Được biên soạn chuyên sâu và bám sát chặt chẽ chương trình sách giáo khoa hiện hành, bộ bài tập toán trung học phổ thông này cam kết tối ưu hóa toàn diện quá trình ôn luyện, củng cố kiến thức Toán lớp 12 cho học sinh THPT, thông qua phương pháp tiếp cận trực quan và mang lại hiệu quả học tập vượt trội, tạo nền tảng vững chắc cho Kỳ thi Tốt nghiệp THPT Quốc gia và hành trang vào đại học.
Download Center
Chọn tài liệu bạn muốn tải về
















