z Mục lục tài liệu
Nội dung chi tiết

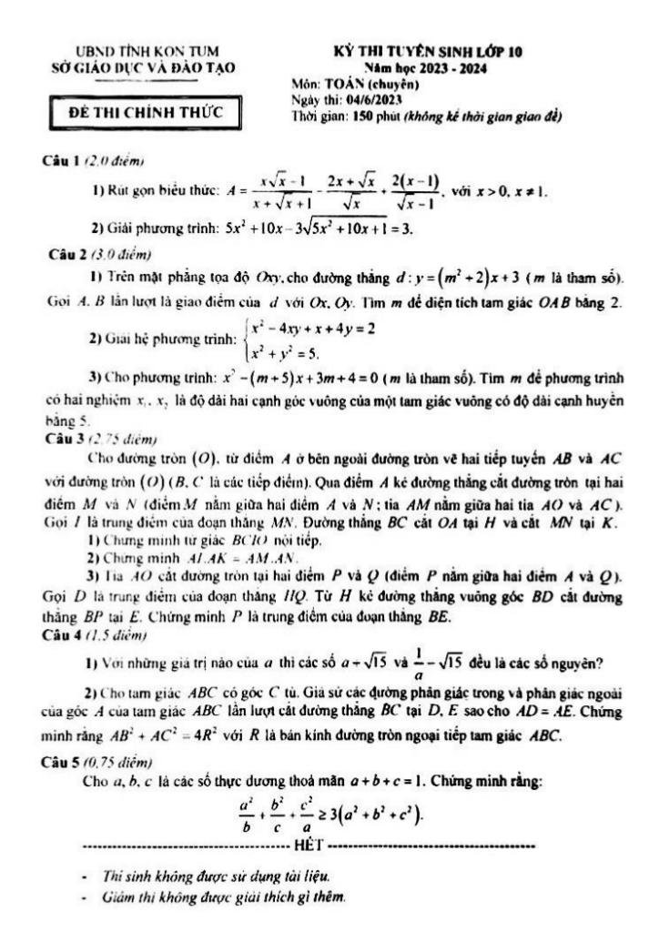
MonToan.com.vn trân trọng giới thiệu đến quý thầy cô giáo và các em học sinh đề thi tuyển sinh lớp 10 chuyên môn Toán năm học 2023 – 2024 do Sở Giáo dục và Đào tạo tỉnh Kon Tum tổ chức, được thực hiện vào ngày 04 tháng 06 năm 2023.
Đề thi năm nay được đánh giá là có độ khó tương đối cao, đòi hỏi học sinh phải có kiến thức vững chắc và khả năng vận dụng linh hoạt các công thức, định lý toán học. Đề thi không chỉ kiểm tra kiến thức về đại số, hình học mà còn đánh giá khả năng tư duy logic và giải quyết vấn đề của thí sinh.
Dưới đây là trích dẫn nội dung chính của đề thi:
-
Bài toán 1: Trên mặt phẳng tọa độ Oxy, cho đường thẳng d: y = (m2 + 2)x + 3 (m là tham số). Gọi A, B lần lượt là giao điểm của d với Ox, Oy. Tìm giá trị của m để diện tích tam giác OAB bằng 2.
Nhận xét: Bài toán này thuộc kiến thức về đường thẳng, giao điểm và diện tích tam giác. Yêu cầu thí sinh nắm vững phương pháp tìm giao điểm và tính diện tích tam giác trong hệ tọa độ.
-
Bài toán 2: Cho phương trình: x2 – (m + 5)x + 3m + 4 = 0 (m là tham số). Tìm giá trị của m để phương trình có hai nghiệm x1, x2 là độ dài hai cạnh góc vuông của một tam giác vuông có độ dài cạnh huyền bằng 5.
Nhận xét: Bài toán này kết hợp kiến thức về phương trình bậc hai, hệ thức Vi-et và định lý Pytago. Thí sinh cần vận dụng linh hoạt các kiến thức này để giải quyết bài toán.
-
Bài toán 3: Cho tam giác ABC có góc C tù. Giả sử các đường phân giác trong và phân giác ngoài của góc A của tam giác ABC lần lượt cắt đường thẳng BC tại D, E sao cho AD = AE. Chứng minh rằng AB2 + AC2 = 4R2 với R là bán kính đường tròn ngoại tiếp tam giác ABC.
Nhận xét: Bài toán này thuộc kiến thức về hình học, đặc biệt là các tính chất của đường phân giác, tam giác vuông và đường tròn ngoại tiếp. Đây là một bài toán chứng minh hình học đòi hỏi thí sinh có khả năng phân tích và suy luận logic.
MonToan.com.vn hy vọng đề thi này sẽ là tài liệu hữu ích cho quý thầy cô và các em học sinh trong quá trình ôn tập và chuẩn bị cho các kỳ thi sắp tới.
Download Center
Chọn tài liệu bạn muốn tải về







