z Mục lục tài liệu
Nội dung chi tiết

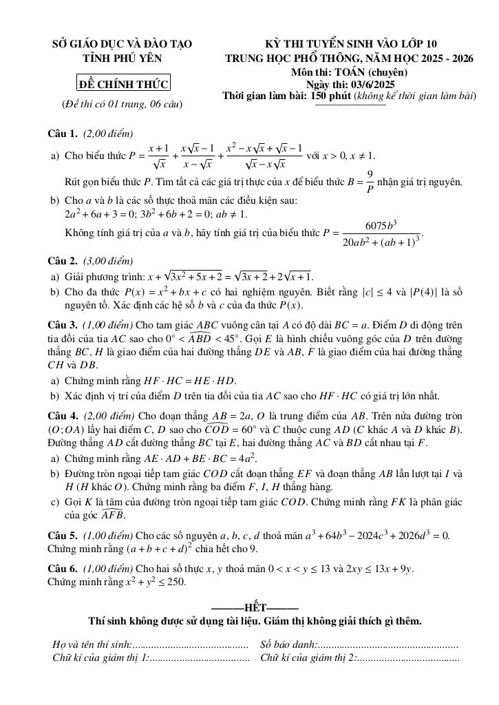
MonToan.com.vn trân trọng giới thiệu đến quý thầy cô giáo và các em học sinh đề thi tuyển sinh lớp 10 chuyên môn Toán năm học 2025 – 2026 của Sở Giáo dục và Đào tạo tỉnh Phú Yên. Kỳ thi chính thức sẽ được tổ chức vào ngày 03 tháng 06 năm 2025.
Đề thi năm nay được đánh giá là có độ khó cao, đòi hỏi học sinh phải có kiến thức vững chắc và khả năng vận dụng linh hoạt các công thức, định lý toán học. Đề thi không chỉ kiểm tra kiến thức mà còn đánh giá khả năng tư duy logic, phân tích và giải quyết vấn đề của thí sinh.
Dưới đây là trích dẫn nội dung chi tiết của đề thi:
- Bài toán 1: Nghiệm của đa thức
- Bài toán 2: Hình học phẳng
- a) Chứng minh rằng HF.HC = HE.HD.
- b) Xác định vị trí của điểm D trên tia đối của tia AC sao cho HF.HC có giá trị lớn nhất.
- Bài toán 3: Số học
Cho đa thức P(x) = x² + bx + c có hai nghiệm nguyên. Biết rằng |c| ≤ 4 và |P(4)| là một số nguyên tố. Hãy xác định các hệ số b và c của đa thức P(x).
Nhận xét: Bài toán này tập trung vào kiến thức về nghiệm của đa thức bậc hai, điều kiện để đa thức có nghiệm nguyên và tính chất của số nguyên tố. Yêu cầu thí sinh phải kết hợp các kiến thức này để tìm ra đáp án chính xác.
Cho tam giác ABC vuông cân tại A có độ dài BC = a. Điểm D di động trên tia đối của tia AC sao cho 0° < ABD < 45°. Gọi E là hình chiếu vuông góc của D trên đường thẳng BC, H là giao điểm của hai đường thẳng DE và AB, F là giao điểm của hai đường thẳng CH và DB.
Nhận xét: Bài toán này đòi hỏi thí sinh có kiến thức vững chắc về hình học phẳng, các tính chất của tam giác vuông cân, đường thẳng vuông góc, đường thẳng song song và các hệ thức lượng trong tam giác. Việc chứng minh và tìm giá trị lớn nhất đòi hỏi khả năng phân tích và suy luận logic.
Cho các số nguyên a, b, c, d thỏa mãn a³ + 64b³ – 2024c³ + 2026d³ = 0. Chứng minh rằng (a + b + c + d)² chia hết cho 9.
Nhận xét: Bài toán này liên quan đến kiến thức về số học, tính chất chia hết và các phép biến đổi đại số. Thí sinh cần vận dụng các kiến thức này để chứng minh tính chia hết của biểu thức.
MonToan.com.vn hy vọng đề thi này sẽ là tài liệu ôn tập hữu ích cho các em học sinh đang chuẩn bị cho kỳ thi tuyển sinh lớp 10 chuyên môn Toán. Chúc các em đạt kết quả cao nhất!
Download Center
Chọn tài liệu bạn muốn tải về







