z Mục lục tài liệu
Nội dung chi tiết

Montoan.com trân trọng giới thiệu đến quý thầy cô giáo và các em học sinh lớp 11 đề thi chọn học sinh giỏi môn Toán cấp tỉnh năm học 2024 – 2025, đợt 2, do Sở Giáo dục và Đào tạo tỉnh Quảng Nam tổ chức. Kỳ thi chính thức diễn ra vào ngày 07 tháng 03 năm 2025.
Đề thi năm nay được đánh giá là có độ khó cao, đòi hỏi học sinh phải có kiến thức vững chắc và khả năng vận dụng linh hoạt các định lý, kỹ năng giải toán hình học và tổ hợp. Nội dung đề thi bám sát chương trình Toán 11 chuyên, đồng thời có tính phân loại học sinh rõ ràng.
Trích dẫn đề thi chọn học sinh giỏi Toán 11 (chuyên) năm 2024 – 2025 đợt 2, Sở GD&ĐT Quảng Nam:
-
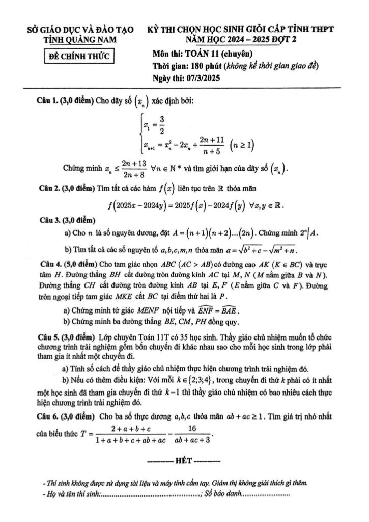
Bài toán 1: Cho tam giác nhọn ABC (AC > AB) có đường cao AK (K thuộc BC) và trực tâm H. Đường thẳng BH cắt đường tròn đường kính AC tại M, N (M nằm giữa B và N). Đường thẳng CH cắt đường tròn đường kính AB tại E, F (E nằm giữa C và F). Đường tròn ngoại tiếp tam giác MKE cắt BC tại điểm thứ hai là P.
- a) Chứng minh tứ giác MENF nội tiếp và ∠ENF = ∠BAE.
- b) Chứng minh ba đường thẳng BE, CM, PH đồng quy.
-
Bài toán 2: Lớp chuyên Toán 11T có 35 học sinh. Thầy giáo chủ nhiệm muốn tổ chức chương trình trải nghiệm gồm bốn chuyến đi khác nhau sao cho mỗi học sinh trong lớp phải tham gia ít nhất một chuyến đi.
- a) Tính số cách để thầy giáo chủ nhiệm thực hiện chương trình trải nghiệm đó.
- b) Nếu có thêm điều kiện: Với mỗi k thuộc {2;3;4}, trong chuyến đi thứ k phải có ít nhất một học sinh đã tham gia chuyến đi thứ k – 1 thì thầy giáo chủ nhiệm có bao nhiêu cách thực hiện chương trình trải nghiệm đó?
Nhận xét chung:
- Bài toán 1 tập trung vào kiến thức về đường tròn, tam giác, đường cao và tính chất của trực tâm. Yêu cầu học sinh phải có khả năng vẽ hình chính xác, phân tích và tìm ra mối liên hệ giữa các yếu tố hình học.
- Bài toán 2 là một bài toán tổ hợp phức tạp, đòi hỏi học sinh phải nắm vững các nguyên lý đếm và kỹ năng giải quyết bài toán bằng phương pháp bao hàm – loại trừ.
Montoan.com hy vọng đề thi này sẽ là tài liệu ôn tập hữu ích cho các em học sinh đang chuẩn bị cho kỳ thi học sinh giỏi môn Toán cấp tỉnh.
Download Center
Chọn tài liệu bạn muốn tải về







