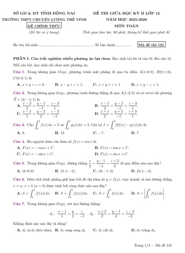
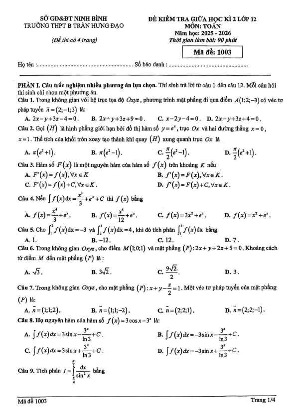
Giải bài tập 1.17 trang 25 SGK Toán 12 tập 1 - Kết nối tri thức
Giải bài tập 1.17 trang 25 SGK Toán 12 tập 1 - Kết nối tri thức
Chào mừng các em học sinh đến với bài giải chi tiết bài tập 1.17 trang 25 SGK Toán 12 tập 1 - Kết nối tri thức trên website montoan.com.vn. Bài viết này sẽ cung cấp cho các em lời giải chính xác, dễ hiểu, giúp các em nắm vững kiến thức và tự tin giải các bài tập tương tự.
Chúng tôi luôn cố gắng mang đến những tài liệu học tập chất lượng cao, hỗ trợ tối đa cho quá trình học tập của các em.
Đường thẳng \(x = 1\) có phải là tiệm cận đứng của đồ thị hàm số \(y = \frac{{{x^2} + 2x - 3}}{{x - 1}}\) không?
Đề bài
Đường thẳng \(x = 1\) có phải là tiệm cận đứng của đồ thị hàm số \(y = \frac{{{x^2} + 2x - 3}}{{x - 1}}\) không?
Phương pháp giải - Xem chi tiết
Sử dụng kiến thức về khái niệm tiệm cận đứng của đồ thị hàm số để tìm tiệm cận đứng: Đường thẳng \(x = {x_0}\) gọi là đường tiệm cận đứng (gọi tắt là tiệm cận đứng) của đồ thị hàm số \(y = f\left( x \right)\) nếu ít nhất một trong các điều kiện sau được thỏa mãn: \(\mathop {\lim }\limits_{x \to x_0^ + } f\left( x \right) = + \infty \); \(\mathop {\lim }\limits_{x \to x_0^ - } f\left( x \right) = - \infty \); \(\mathop {\lim }\limits_{x \to x_0^ + } f\left( x \right) = - \infty \); \(\mathop {\lim }\limits_{x \to x_0^ - } f\left( x \right) = + \infty \)
Lời giải chi tiết
Ta có: \(\mathop {\lim }\limits_{x \to {1^ + }} f\left( x \right) = \mathop {\lim }\limits_{x \to {1^ + }} \frac{{{x^2} + 2x - 3}}{{x - 1}} = \mathop {\lim }\limits_{x \to {1^ + }} \frac{{\left( {x - 1} \right)\left( {x + 3} \right)}}{{x - 1}} = \mathop {\lim }\limits_{x \to {1^ + }} \left( {x + 3} \right) = 4\)
\(\mathop {\lim }\limits_{x \to {1^ - }} f\left( x \right) = \mathop {\lim }\limits_{x \to {1^ - }} \frac{{{x^2} + 2x - 3}}{{x - 1}} = \mathop {\lim }\limits_{x \to {1^ - }} \frac{{\left( {x - 1} \right)\left( {x + 3} \right)}}{{x - 1}} = \mathop {\lim }\limits_{x \to {1^ - }} \left( {x + 3} \right) = 4\)
Do đó, đường thẳng \(x = 1\) không là tiệm cận đứng của đồ thị hàm số \(y = \frac{{{x^2} + 2x - 3}}{{x - 1}}\).
Giải bài tập 1.17 trang 25 SGK Toán 12 tập 1 - Kết nối tri thức: Tổng quan
Bài tập 1.17 trang 25 SGK Toán 12 tập 1 - Kết nối tri thức thuộc chương 1: Hàm số và đồ thị. Bài tập này yêu cầu học sinh vận dụng kiến thức về hàm số bậc hai, điều kiện xác định của hàm số, và các phép biến đổi hàm số để giải quyết. Việc nắm vững các khái niệm này là nền tảng quan trọng cho việc học tập các chương tiếp theo.
Nội dung bài tập 1.17
Bài tập 1.17 bao gồm một số câu hỏi nhỏ, yêu cầu học sinh:
- Xác định tập xác định của hàm số.
- Tìm tập giá trị của hàm số.
- Xác định khoảng đồng biến, nghịch biến của hàm số.
- Vẽ đồ thị hàm số.
- Tìm điểm cực trị của hàm số.
Lời giải chi tiết bài tập 1.17
Câu a: Hàm số y = x2 - 4x + 3
Tập xác định: Vì hàm số là hàm bậc hai, nên tập xác định của hàm số là R.
Đỉnh của parabol: x0 = -b/2a = -(-4)/(2*1) = 2. y0 = 22 - 4*2 + 3 = -1. Vậy đỉnh của parabol là (2, -1).
Trục đối xứng: x = 2.
Bảng biến thiên:
| x | -∞ | 2 | +∞ |
|---|---|---|---|
| y' | - | 0 | + |
| y | -∞ | -1 | +∞ |
Kết luận: Hàm số nghịch biến trên khoảng (-∞, 2) và đồng biến trên khoảng (2, +∞). Hàm số đạt giá trị nhỏ nhất tại x = 2, giá trị nhỏ nhất là -1.
Câu b: Hàm số y = -x2 + 6x - 5
Tập xác định: Vì hàm số là hàm bậc hai, nên tập xác định của hàm số là R.
Đỉnh của parabol: x0 = -b/2a = -6/(2*(-1)) = 3. y0 = -32 + 6*3 - 5 = 4. Vậy đỉnh của parabol là (3, 4).
Trục đối xứng: x = 3.
Bảng biến thiên:
| x | -∞ | 3 | +∞ |
|---|---|---|---|
| y' | + | 0 | - |
| y | -∞ | 4 | -∞ |
Kết luận: Hàm số đồng biến trên khoảng (-∞, 3) và nghịch biến trên khoảng (3, +∞). Hàm số đạt giá trị lớn nhất tại x = 3, giá trị lớn nhất là 4.
Lưu ý khi giải bài tập
- Luôn xác định đúng tập xác định của hàm số.
- Sử dụng công thức tính đỉnh của parabol một cách chính xác.
- Vẽ bảng biến thiên để xác định khoảng đồng biến, nghịch biến và giá trị lớn nhất, nhỏ nhất của hàm số.
- Kiểm tra lại kết quả sau khi giải xong.
Ứng dụng của kiến thức
Kiến thức về hàm số bậc hai có ứng dụng rộng rãi trong thực tế, như trong việc tính toán quỹ đạo của vật thể, thiết kế các công trình kiến trúc, và phân tích các hiện tượng kinh tế. Việc nắm vững kiến thức này sẽ giúp các em giải quyết các bài toán thực tế một cách hiệu quả.
Tổng kết
Bài tập 1.17 trang 25 SGK Toán 12 tập 1 - Kết nối tri thức là một bài tập quan trọng, giúp các em củng cố kiến thức về hàm số bậc hai. Hy vọng với lời giải chi tiết và những lưu ý trên, các em sẽ tự tin giải quyết bài tập này và các bài tập tương tự. Chúc các em học tập tốt!





























